ldaModel
Latent Dirichlet allocation (LDA) model
Description
A latent Dirichlet allocation (LDA) model is a topic model which discovers underlying topics in a collection of documents and infers word probabilities in topics. If the model was fit using a bag-of-n-grams model, then the software treats the n-grams as individual words.
Creation
Create an LDA model using the fitlda function.
Properties
Number of topics in the LDA model, specified as a positive integer.
Topic concentration, specified as a positive scalar. The function sets the
concentration per topic to TopicConcentration/NumTopics.
For more information, see Latent Dirichlet Allocation.
Word concentration, specified as a nonnegative scalar. The software sets
the concentration per word to WordConcentration/numWords,
where numWords is the vocabulary size of the input
documents. For more information, see Latent Dirichlet Allocation.
Topic probabilities of input document set, specified as a vector. The
corpus topic probabilities of an LDA model are the probabilities of
observing each topic in the entire data set used to fit the LDA model.
CorpusTopicProbabilities is a
1-by-K vector where K is the
number of topics. The kth entry of
CorpusTopicProbabilities corresponds to the
probability of observing topic k.
Topic probabilities per input document, specified as a matrix. The
document topic probabilities of an LDA model are the probabilities of
observing each topic in each document used to fit the LDA model.
DocumentTopicProbabilities is a
D-by-K matrix where
D is the number of documents used to fit the LDA
model, and K is the number of topics. The
(d,k)th entry of
DocumentTopicProbabilities corresponds to the
probability of observing topic k in document
d.
If any the topics have zero probability
(CorpusTopicProbabilities contains zeros), then the
corresponding columns of DocumentTopicProbabilities and
TopicWordProbabilities are zeros.
The order of the rows in DocumentTopicProbabilities
corresponds to the order of the documents in the training data.
Word probabilities per topic, specified as a matrix. The topic word
probabilities of an LDA model are the probabilities of observing each word
in each topic of the LDA model. TopicWordProbabilities
is a V-by-K matrix, where
V is the number of words in
Vocabulary and K is the number
of topics. The (v,k)th entry of
TopicWordProbabilities corresponds to the
probability of observing word v in topic
k.
If any the topics have zero probability
(CorpusTopicProbabilities contains zeros), then the
corresponding columns of DocumentTopicProbabilities and
TopicWordProbabilities are zeros.
The order of the rows in TopicWordProbabilities
corresponds to the order of the words in
Vocabulary.
Topic order, specified as one of the following:
'initial-fit-probability'– Sort the topics by the corpus topic probabilities of the initial model fit. These probabilities are theCorpusTopicProbabilitiesproperty of the initialldaModelobject returned byfitlda. Theresumefunction does not reorder the topics of the resultingldaModelobjects.'unordered'– Do not order topics.
Information recorded when fitting LDA model, specified as a struct with the following fields:
TerminationCode– Status of optimization upon exit0 – Iteration limit reached.
1 – Tolerance on log-likelihood satisfied.
TerminationStatus– Explanation of the returned termination codeNumIterations– Number of iterations performedNegativeLogLikelihood– Negative log-likelihood for the data passed tofitldaPerplexity– Perplexity for the data passed tofitldaSolver– Name of the solver usedHistory– Struct holding the optimization historyStochasticInfo– Struct holding information for stochastic solvers
Data Types: struct
List of words in the model, specified as a string vector.
Data Types: string
Object Functions
logp | Document log-probabilities and goodness of fit of LDA model |
predict | Predict top LDA topics of documents |
resume | Resume fitting LDA model |
topkwords | Most important words in bag-of-words model or LDA topic |
transform | Transform documents into lower-dimensional space |
wordcloud | Create word cloud chart from text, bag-of-words model, bag-of-n-grams model, or LDA model |
Examples
To reproduce the results in this example, set rng to 'default'.
rng('default')Load the example data. The file sonnetsPreprocessed.txt contains preprocessed versions of Shakespeare's sonnets. The file contains one sonnet per line, with words separated by a space. Extract the text from sonnetsPreprocessed.txt, split the text into documents at newline characters, and then tokenize the documents.
filename = "sonnetsPreprocessed.txt";
str = extractFileText(filename);
textData = split(str,newline);
documents = tokenizedDocument(textData);Create a bag-of-words model using bagOfWords.
bag = bagOfWords(documents)
bag =
bagOfWords with properties:
Counts: [154×3092 double]
Vocabulary: ["fairest" "creatures" "desire" "increase" "thereby" "beautys" "rose" "might" "never" "die" "riper" "time" "decease" "tender" "heir" "bear" "memory" "thou" "contracted" … ]
NumWords: 3092
NumDocuments: 154
Fit an LDA model with four topics.
numTopics = 4; mdl = fitlda(bag,numTopics)
Initial topic assignments sampled in 0.263378 seconds. ===================================================================================== | Iteration | Time per | Relative | Training | Topic | Topic | | | iteration | change in | perplexity | concentration | concentration | | | (seconds) | log(L) | | | iterations | ===================================================================================== | 0 | 0.17 | | 1.215e+03 | 1.000 | 0 | | 1 | 0.02 | 1.0482e-02 | 1.128e+03 | 1.000 | 0 | | 2 | 0.02 | 1.7190e-03 | 1.115e+03 | 1.000 | 0 | | 3 | 0.01 | 4.3796e-04 | 1.118e+03 | 1.000 | 0 | | 4 | 0.01 | 9.4193e-04 | 1.111e+03 | 1.000 | 0 | | 5 | 0.01 | 3.7079e-04 | 1.108e+03 | 1.000 | 0 | | 6 | 0.01 | 9.5777e-05 | 1.107e+03 | 1.000 | 0 | =====================================================================================
mdl =
ldaModel with properties:
NumTopics: 4
WordConcentration: 1
TopicConcentration: 1
CorpusTopicProbabilities: [0.2500 0.2500 0.2500 0.2500]
DocumentTopicProbabilities: [154×4 double]
TopicWordProbabilities: [3092×4 double]
Vocabulary: ["fairest" "creatures" "desire" "increase" "thereby" "beautys" "rose" "might" "never" "die" "riper" "time" "decease" "tender" "heir" "bear" "memory" "thou" … ]
TopicOrder: 'initial-fit-probability'
FitInfo: [1×1 struct]
Visualize the topics using word clouds.
figure for topicIdx = 1:4 subplot(2,2,topicIdx) wordcloud(mdl,topicIdx); title("Topic: " + topicIdx) end

Create a table of the words with highest probability of an LDA topic.
To reproduce the results, set rng to 'default'.
rng('default')Load the example data. The file sonnetsPreprocessed.txt contains preprocessed versions of Shakespeare's sonnets. The file contains one sonnet per line, with words separated by a space. Extract the text from sonnetsPreprocessed.txt, split the text into documents at newline characters, and then tokenize the documents.
filename = "sonnetsPreprocessed.txt";
str = extractFileText(filename);
textData = split(str,newline);
documents = tokenizedDocument(textData);Create a bag-of-words model using bagOfWords.
bag = bagOfWords(documents);
Fit an LDA model with 20 topics. To suppress verbose output, set 'Verbose' to 0.
numTopics = 20;
mdl = fitlda(bag,numTopics,'Verbose',0);Find the top 20 words of the first topic.
k = 20; topicIdx = 1; tbl = topkwords(mdl,k,topicIdx)
tbl=20×2 table
Word Score
________ _________
"eyes" 0.11155
"beauty" 0.05777
"hath" 0.055778
"still" 0.049801
"true" 0.043825
"mine" 0.033865
"find" 0.031873
"black" 0.025897
"look" 0.023905
"tis" 0.023905
"kind" 0.021913
"seen" 0.021913
"found" 0.017929
"sin" 0.015937
"three" 0.013945
"golden" 0.0099608
⋮
Find the top 20 words of the first topic and use inverse mean scaling on the scores.
tbl = topkwords(mdl,k,topicIdx,'Scaling','inversemean')
tbl=20×2 table
Word Score
________ ________
"eyes" 1.2718
"beauty" 0.59022
"hath" 0.5692
"still" 0.50269
"true" 0.43719
"mine" 0.32764
"find" 0.32544
"black" 0.25931
"tis" 0.23755
"look" 0.22519
"kind" 0.21594
"seen" 0.21594
"found" 0.17326
"sin" 0.15223
"three" 0.13143
"golden" 0.090698
⋮
Create a word cloud using the scaled scores as the size data.
figure wordcloud(tbl.Word,tbl.Score);

Get the document topic probabilities (also known as topic mixtures) of the documents used to fit an LDA model.
To reproduce the results, set rng to 'default'.
rng('default')Load the example data. The file sonnetsPreprocessed.txt contains preprocessed versions of Shakespeare's sonnets. The file contains one sonnet per line, with words separated by a space. Extract the text from sonnetsPreprocessed.txt, split the text into documents at newline characters, and then tokenize the documents.
filename = "sonnetsPreprocessed.txt";
str = extractFileText(filename);
textData = split(str,newline);
documents = tokenizedDocument(textData);Create a bag-of-words model using bagOfWords.
bag = bagOfWords(documents);
Fit an LDA model with 20 topics. To suppress verbose output, set 'Verbose' to 0.
numTopics = 20;
mdl = fitlda(bag,numTopics,'Verbose',0)mdl =
ldaModel with properties:
NumTopics: 20
WordConcentration: 1
TopicConcentration: 5
CorpusTopicProbabilities: [0.0500 0.0500 0.0500 0.0500 0.0500 0.0500 0.0500 0.0500 0.0500 0.0500 0.0500 0.0500 0.0500 0.0500 0.0500 0.0500 0.0500 0.0500 0.0500 0.0500]
DocumentTopicProbabilities: [154×20 double]
TopicWordProbabilities: [3092×20 double]
Vocabulary: ["fairest" "creatures" "desire" "increase" "thereby" "beautys" "rose" "might" "never" "die" "riper" "time" "decease" "tender" "heir" "bear" "memory" … ] (1×3092 string)
TopicOrder: 'initial-fit-probability'
FitInfo: [1×1 struct]
View the topic probabilities of the first document in the training data.
topicMixtures = mdl.DocumentTopicProbabilities; figure bar(topicMixtures(1,:)) title("Document 1 Topic Probabilities") xlabel("Topic Index") ylabel("Probability")

To reproduce the results in this example, set rng to 'default'.
rng('default')Load the example data. The file sonnetsPreprocessed.txt contains preprocessed versions of Shakespeare's sonnets. The file contains one sonnet per line, with words separated by a space. Extract the text from sonnetsPreprocessed.txt, split the text into documents at newline characters, and then tokenize the documents.
filename = "sonnetsPreprocessed.txt";
str = extractFileText(filename);
textData = split(str,newline);
documents = tokenizedDocument(textData);Create a bag-of-words model using bagOfWords.
bag = bagOfWords(documents)
bag =
bagOfWords with properties:
Counts: [154×3092 double]
Vocabulary: ["fairest" "creatures" "desire" "increase" "thereby" "beautys" "rose" "might" "never" "die" "riper" "time" "decease" "tender" "heir" "bear" "memory" "thou" "contracted" … ]
NumWords: 3092
NumDocuments: 154
Fit an LDA model with 20 topics.
numTopics = 20; mdl = fitlda(bag,numTopics)
Initial topic assignments sampled in 0.513255 seconds. ===================================================================================== | Iteration | Time per | Relative | Training | Topic | Topic | | | iteration | change in | perplexity | concentration | concentration | | | (seconds) | log(L) | | | iterations | ===================================================================================== | 0 | 0.04 | | 1.159e+03 | 5.000 | 0 | | 1 | 0.05 | 5.4884e-02 | 8.028e+02 | 5.000 | 0 | | 2 | 0.04 | 4.7400e-03 | 7.778e+02 | 5.000 | 0 | | 3 | 0.04 | 3.4597e-03 | 7.602e+02 | 5.000 | 0 | | 4 | 0.03 | 3.4662e-03 | 7.430e+02 | 5.000 | 0 | | 5 | 0.03 | 2.9259e-03 | 7.288e+02 | 5.000 | 0 | | 6 | 0.03 | 6.4180e-05 | 7.291e+02 | 5.000 | 0 | =====================================================================================
mdl =
ldaModel with properties:
NumTopics: 20
WordConcentration: 1
TopicConcentration: 5
CorpusTopicProbabilities: [0.0500 0.0500 0.0500 0.0500 0.0500 0.0500 0.0500 0.0500 0.0500 0.0500 0.0500 0.0500 0.0500 0.0500 0.0500 0.0500 0.0500 0.0500 0.0500 0.0500]
DocumentTopicProbabilities: [154×20 double]
TopicWordProbabilities: [3092×20 double]
Vocabulary: ["fairest" "creatures" "desire" "increase" "thereby" "beautys" "rose" "might" "never" "die" "riper" "time" "decease" "tender" "heir" "bear" "memory" "thou" … ]
TopicOrder: 'initial-fit-probability'
FitInfo: [1×1 struct]
Predict the top topics for an array of new documents.
newDocuments = tokenizedDocument([
"what's in a name? a rose by any other name would smell as sweet."
"if music be the food of love, play on."]);
topicIdx = predict(mdl,newDocuments)topicIdx = 2×1
19
8
Visualize the predicted topics using word clouds.
figure subplot(1,2,1) wordcloud(mdl,topicIdx(1)); title("Topic " + topicIdx(1)) subplot(1,2,2) wordcloud(mdl,topicIdx(2)); title("Topic " + topicIdx(2))

More About
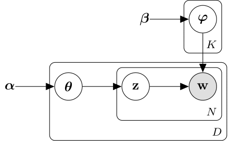
A latent Dirichlet allocation (LDA) model is a document topic model which discovers underlying topics in a collection of documents and infers word probabilities in topics. LDA models a collection of D documents as topic mixtures , over K topics characterized by vectors of word probabilities . The model assumes that the topic mixtures , and the topics follow a Dirichlet distribution with concentration parameters and respectively.
The topic mixtures are probability vectors of length K, where
K is the number of topics. The entry is the probability of topic i appearing in the
dth document. The topic mixtures correspond to the rows of the
DocumentTopicProbabilities property of the ldaModel
object.
The topics are probability vectors of length V, where
V is the number of words in the vocabulary. The entry corresponds to the probability of the vth word of the
vocabulary appearing in the ith topic. The topics correspond to the columns of the TopicWordProbabilities
property of the ldaModel object.
Given the topics and Dirichlet prior on the topic mixtures, LDA assumes the following generative process for a document:
Sample a topic mixture . The random variable is a probability vector of length K, where K is the number of topics.
For each word in the document:
Sample a topic index . The random variable z is an integer from 1 through K, where K is the number of topics.
Sample a word . The random variable w is an integer from 1 through V, where V is the number of words in the vocabulary, and represents the corresponding word in the vocabulary.
Under this generative process, the joint distribution of a document with words , with topic mixture , and with topic indices is given by
where N is the number of words in the document. Summing the joint distribution over z and then integrating over yields the marginal distribution of a document w:
The following diagram illustrates the LDA model as a probabilistic graphical model. Shaded nodes are observed variables, unshaded nodes are latent variables, nodes without outlines are the model parameters. The arrows highlight dependencies between random variables and the plates indicate repeated nodes.

The Dirichlet distribution is a continuous generalization of the multinomial distribution. Given the number of categories , and concentration parameter , where is a vector of positive reals of length K, the probability density function of the Dirichlet distribution is given by
where B denotes the multivariate Beta function given by
A special case of the Dirichlet distribution is the symmetric Dirichlet distribution. The symmetric Dirichlet distribution is characterized by the concentration parameter , where all the elements of are the same.
Version History
Introduced in R2017b
MATLAB Command
You clicked a link that corresponds to this MATLAB command:
Run the command by entering it in the MATLAB Command Window. Web browsers do not support MATLAB commands.
Select a Web Site
Choose a web site to get translated content where available and see local events and offers. Based on your location, we recommend that you select: .
You can also select a web site from the following list
How to Get Best Site Performance
Select the China site (in Chinese or English) for best site performance. Other MathWorks country sites are not optimized for visits from your location.
Americas
- América Latina (Español)
- Canada (English)
- United States (English)
Europe
- Belgium (English)
- Denmark (English)
- Deutschland (Deutsch)
- España (Español)
- Finland (English)
- France (Français)
- Ireland (English)
- Italia (Italiano)
- Luxembourg (English)
- Netherlands (English)
- Norway (English)
- Österreich (Deutsch)
- Portugal (English)
- Sweden (English)
- Switzerland
- United Kingdom (English)