dsp.VariableFIRDecimator
Description
The dsp.VariableFIRDecimator object performs an efficient polyphase FIR
decimation with a tunable decimation factor. You can update the decimation factor and the
filter coefficients while the simulation is running. To control the decimation, you can
specify the decimation factor or the output frame length.
When you specify the decimation factor, if the input frame length changes (variable-size signal) during simulation, the output frame length also changes in order to keep the decimation factor constant. When you specify the output frame length instead of the decimation factor, and if the input frame length changes (variable-size signal) during simulation, the decimation factor also changes in order to keep the output frame length constant.
Conceptually, the FIR decimator (as shown in the schematic) consists of an anti-aliasing
FIR filter followed by a downsampler. To design an FIR anti-aliasing filter, use the designMultirateFIR function.
The FIR filter filters the data in each channel of the input using a direct-form FIR filter. The downsampler that follows downsamples each channel of filtered data by taking every M-th sample and discarding the M – 1 samples that follow. M is the value of the decimation factor. The resulting discrete-time signal has a sample rate that is 1/M times the original sample rate.

Note that the actual object algorithm implements a direct-form FIR polyphase structure, an efficient equivalent of the combined system depicted in the diagram. For more details, see Algorithms.
This object supports C and C++ code generation.
To implement the variable FIR decimator:
Create the
dsp.VariableFIRDecimatorobject and set its properties.Call the object with arguments, as if it were a function.
To learn more about how System objects work, see What Are System Objects?
Creation
Syntax
Description
returns a variable FIR decimator object with a maximum decimation factor of 24. The object
designs the FIR filter using varFIRDecim = dsp.VariableFIRDecimatordesignMultirateFIR(1,24).
sets the varFIRDecim = dsp.VariableFIRDecimator(Mmax)MaxDecimationFactor property to
Mmax.
sets the varFIRDecim = dsp.VariableFIRDecimator(Mmax,M)DecimationFactor property to M. The
object designs the FIR filter using
designMultirateFIR(1,M). The designed filter
corresponds to a lowpass filter with a cutoff at π/M in radial
frequency units.
returns a variable FIR decimator object with additional properties specified by one or
more name-value arguments. For example, varFIRDecim = dsp.VariableFIRDecimator(Name=Value)varFIRDecim =
dsp.VariableFIRDecimator(Specification="Output frame length") creates a
variable FIR decimator object with an output frame length of 48.
Properties
Usage
Description
Input Arguments
Output Arguments
Object Functions
To use an object function, specify the
System object™ as the first input argument. For
example, to release system resources of a System object named obj, use
this syntax:
release(obj)
Examples
More About
Algorithms
The FIR decimation filter is implemented efficiently using a polyphase structure. For more information on polyphase filters, see Polyphase Subfilters.
To derive the polyphase structure, start with the transfer function of the FIR filter
where N+1 is the length of the FIR filter.
You can rearrange this equation as
where Mmax is the number of polyphase components, and its value equals the maximum decimation factor.
You can write H(z) as
where E0(zMmax), E1(zMmax), ..., EMmax-1(zMmax) are the polyphase components of the FIR filter H(z).
During simulation, the algorithm reconstructs the filter H(z) based on the current decimation factor M.
Rewriting H(z) in terms of the decimation factor M yields
where r = Mmax/M.
Conceptually, the FIR decimation filter contains a lowpass FIR filter followed by a downsampler.

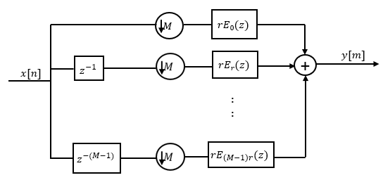
Replace H(z) with its polyphase representation.

This is the multirate noble identity for decimation.

Applying the noble identity for decimation moves the downsampling operation to before the filtering operation. This move enables you to filter the signal at a lower rate.

You can replace the delays and the decimation factor at the input with a commutator switch. The switch starts on the first branch 0 and moves in the counterclockwise direction as shown in this diagram. The accumulator at the output receives the processed input samples from each branch of the polyphase structure and accumulates these processed samples until the switch goes to branch 0. When the switch goes to branch 0, the accumulator outputs the accumulated value.

When the first input sample is delivered, the switch feeds this input to the branch 0 and the decimator computes the first output value. As more input samples come in, the switch moves in the counter clockwise direction through branches (M−1)r, (M−2)r, and all the way up to branch 0, delivering one sample at a time to each branch. When the switch comes to branch 0, the decimator outputs the next set of output values. This process continues as data keeps coming in. Every time the switch comes to the branch 0, the decimator outputs y[m]. The decimator effectively outputs one sample for every M samples it receives. Hence the sample rate at the output of the FIR decimation filter is fs/M.
References
[1] Orfanidis, Sophocles J. Introduction to Signal Processing. Upper Saddle River, NJ: Prentice-Hall, 1996.
Extended Capabilities
Version History
Introduced in R2024b



