Main Content

ldpcDecode

Decode binary LDPC code

Since R2021b

Description

[Y,actualnumiter,finalparitychecks] = ldpcDecode(llr,decodercfg,maxnumiter) decodes the input log-likelihood ratio (LLR), llr, using the LDPC matrix specified by the input ldpcDecoderConfig configuration object, decodercfg. A positive LLR indicates that the corresponding bit is more likely a zero. Decoding terminates when all of the parity checks are satisfied, up to a maximum number of iterations specified by the input maxnumiter. LDPC codes are linear error control codes with sparse parity-check matrices and long block lengths that can attain performance near the Shannon limit.

example

[Y,actualnumiter,finalparitychecks] = ldpcDecode(llr,decodercfg,maxnumiter,Name=Value) specifies additional name-value arguments. For example, DecisionType='soft' specifies soft-decision decoding and outputs LLRs.

Examples

collapse all

Initialize parameters for the prototype matrix and block size to configure a rate 3/4 LDPC code specified in IEEE® 802.11. Create the parity-check matrix by using the ldpcQuasiCyclicMatrix function.

P = [
    16 17 22 24  9  3 14 -1  4  2  7 -1 26 -1  2 -1 21 -1  1  0 -1 -1 -1 -1
    25 12 12  3  3 26  6 21 -1 15 22 -1 15 -1  4 -1 -1 16 -1  0  0 -1 -1 -1
    25 18 26 16 22 23  9 -1  0 -1  4 -1  4 -1  8 23 11 -1 -1 -1  0  0 -1 -1
     9  7  0  1 17 -1 -1  7  3 -1  3 23 -1 16 -1 -1 21 -1  0 -1 -1  0  0 -1
    24  5 26  7  1 -1 -1 15 24 15 -1  8 -1 13 -1 13 -1 11 -1 -1 -1 -1  0  0
     2  2 19 14 24  1 15 19 -1 21 -1  2 -1 24 -1  3 -1  2  1 -1 -1 -1 -1  0
    ];
blockSize = 27;
pcmatrix = ldpcQuasiCyclicMatrix(blockSize,P);

Create LDPC encoder and decoder configuration objects, displaying their properties.

cfgLDPCEnc = ldpcEncoderConfig(pcmatrix)
cfgLDPCEnc = 
  ldpcEncoderConfig with properties:

     ParityCheckMatrix: [162×648 logical]

   Read-only properties:
           BlockLength: 648
    NumInformationBits: 486
    NumParityCheckBits: 162
              CodeRate: 0.7500

cfgLDPCDec = ldpcDecoderConfig(pcmatrix)
cfgLDPCDec = 
  ldpcDecoderConfig with properties:

     ParityCheckMatrix: [162×648 logical]
             Algorithm: 'bp'

   Read-only properties:
           BlockLength: 648
    NumInformationBits: 486
    NumParityCheckBits: 162
              CodeRate: 0.7500

Transmit an LDPC-encoded, M-QAM-modulated bit stream through an AWGN channel. Demodulate the signal, decode the received codewords, and then count bit errors. Use a for loop to process multiple SNR settings with and without LDPC forward error correction (FEC) coding of the transmitted data.

M = 64;
maxnumiter = 10;
snr = [0.5 1 1.5 2];
numframes = 20000;

for ii = 1:length(snr)
    data = randi([0 1],cfgLDPCEnc.NumInformationBits,numframes,'int8');

    % Transmit and receive with LDPC coding
    encodedData = ldpcEncode(data,cfgLDPCEnc);
    modSignal = qammod(encodedData,M,InputType='bit');
    [rxsig, noisevar] = awgn(modSignal,snr(ii));
    llrOut = qamdemod(rxsig,M, ...
        OutputType='approxllr', ... % Or use 'llr' for exact but slower LLR calculation
        NoiseVariance=noisevar);
    rxbits = ldpcDecode(llrOut,cfgLDPCDec,maxnumiter);
    fprintf(['SNR = %2.1f\n   Coded: Error rate = %1.6f, ' ...
        'Number of errors = %d\n'], ...
        snr(ii),nnz(data~=rxbits)/numel(data),nnz(data~=rxbits));

    % Transmit and receive with no LDPC coding
    noCoding = qammod(data,M,InputType='bit');
    rxNoCoding = awgn(noCoding,snr(ii));
    rxBitsNoCoding = qamdemod(rxNoCoding,M,OutputType='bit');

    fprintf(['Noncoded: Error rate = %1.6f, ' ...
        'Number of errors = %d\n\n'], ...
        nnz(data~=rxBitsNoCoding)/numel(data),nnz(data~=rxBitsNoCoding))
end
SNR = 0.5
   Coded: Error rate = 0.000441, Number of errors = 4282
Noncoded: Error rate = 0.039045, Number of errors = 379515
SNR = 1.0
   Coded: Error rate = 0.000062, Number of errors = 604
Noncoded: Error rate = 0.032813, Number of errors = 318941
SNR = 1.5
   Coded: Error rate = 0.000003, Number of errors = 27
Noncoded: Error rate = 0.027001, Number of errors = 262450
SNR = 2.0
   Coded: Error rate = 0.000000, Number of errors = 0
Noncoded: Error rate = 0.021778, Number of errors = 211686

Initialize parameters for the prototype matrix and block size to configure a rate 3/4 LDPC code specified in IEEE® 802.11. Create the parity-check matrix by using the ldpcQuasiCyclicMatrix function.

P = [
    16 17 22 24  9  3 14 -1  4  2  7 -1 26 -1  2 -1 21 -1  1  0 -1 -1 -1 -1
    25 12 12  3  3 26  6 21 -1 15 22 -1 15 -1  4 -1 -1 16 -1  0  0 -1 -1 -1
    25 18 26 16 22 23  9 -1  0 -1  4 -1  4 -1  8 23 11 -1 -1 -1  0  0 -1 -1
     9  7  0  1 17 -1 -1  7  3 -1  3 23 -1 16 -1 -1 21 -1  0 -1 -1  0  0 -1
    24  5 26  7  1 -1 -1 15 24 15 -1  8 -1 13 -1 13 -1 11 -1 -1 -1 -1  0  0
     2  2 19 14 24  1 15 19 -1 21 -1  2 -1 24 -1  3 -1  2  1 -1 -1 -1 -1  0
    ];
blockSize = 27;
pcmatrix = ldpcQuasiCyclicMatrix(blockSize,P);

Create LDPC encoder and decoder configuration objects, displaying their properties.

cfgLDPCEnc = ldpcEncoderConfig(pcmatrix)
cfgLDPCEnc = 
  ldpcEncoderConfig with properties:

     ParityCheckMatrix: [162×648 logical]

   Read-only properties:
           BlockLength: 648
    NumInformationBits: 486
    NumParityCheckBits: 162
              CodeRate: 0.7500

cfgLDPCDec = ldpcDecoderConfig(pcmatrix)
cfgLDPCDec = 
  ldpcDecoderConfig with properties:

     ParityCheckMatrix: [162×648 logical]
             Algorithm: 'bp'

   Read-only properties:
           BlockLength: 648
    NumInformationBits: 486
    NumParityCheckBits: 162
              CodeRate: 0.7500

Transmit an LDPC-encoded, QPSK-modulated bit stream through an AWGN channel. Demodulate the signal, decode the received codewords, and then count bit errors. Use nested for loops to process multiple SNR settings and frames with and without LDPC forward error correction (FEC) coding of the transmitted data.

M = 4;
maxnumiter = 10;
snr = [3 6 20];
numframes = 10;

ber = comm.ErrorRate;
ber2 = comm.ErrorRate;

for ii = 1:length(snr)
    for counter = 1:numframes
        data = randi([0 1],cfgLDPCEnc.NumInformationBits,1,'int8');
        % Transmit and receive with LDPC coding
        encodedData = ldpcEncode(data,cfgLDPCEnc);
        modSignal = pskmod(encodedData,M,InputType='bit');
        [rxsig, noisevar] = awgn(modSignal,snr(ii));
        demodSignal = pskdemod(rxsig,M, ...
            OutputType='approxllr', ...
            NoiseVariance=noisevar);
        rxbits = ldpcDecode(demodSignal,cfgLDPCDec,maxnumiter);
        errStats = ber(data,rxbits);
        % Transmit and receive with no LDPC coding
        noCoding = pskmod(data,M,InputType='bit');
        rxNoCoding = awgn(noCoding,snr(ii));
        rxBitsNoCoding = pskdemod(rxNoCoding,M,OutputType='bit');
        errStatsNoCoding = ber2(data,int8(rxBitsNoCoding));
    end
    fprintf(['SNR = %2d\n   Coded: Error rate = %1.2f, ' ...
        'Number of errors = %d\n'], ...
        snr(ii),errStats(1),errStats(2))
    fprintf(['Noncoded: Error rate = %1.2f, ' ...
        'Number of errors = %d\n'], ...
        errStatsNoCoding(1),errStatsNoCoding(2))
    reset(ber);
    reset(ber2);
end
SNR =  3
   Coded: Error rate = 0.07, Number of errors = 355
Noncoded: Error rate = 0.08, Number of errors = 384
SNR =  6
   Coded: Error rate = 0.00, Number of errors = 0
Noncoded: Error rate = 0.02, Number of errors = 98
SNR = 20
   Coded: Error rate = 0.00, Number of errors = 0
Noncoded: Error rate = 0.00, Number of errors = 0

Use a GPU to accelerate LDPC encoding, PSK modulation, AWGN channel modeling, PSK demodulation, LDPC decoding, and bit error rate computation. In this example you compute the error statistics for the belief propagation decoding algorithm and the normalized min-sum decoding algorithm.

Create LDPC Configuration Objects

Create an LDPC encoder configuration object and an LDPC decoder configuration object. Define simulation variables.

% Use ldpcQuasiCyclicMatrix to create a parity-check matrix
load("LDPCExamplePrototypeMatrix.mat","P"); % A prototype matrix from the 5G standard
blockSize = 384;
H = ldpcQuasiCyclicMatrix(blockSize, P);
encoderCfg = ldpcEncoderConfig(H);
decoderCfg1 = ldpcDecoderConfig(encoderCfg); % The default algorithm is "bp"
decoderCfg2 = ldpcDecoderConfig(encoderCfg,"norm-min-sum");

M = 4; % Modulation order (QPSK)
snr = [-2 -1.5 -1];
numFramesPerCall = 50;
numCalls = 40;
maxNumIter = 20;
s = rng(1235); % Fix random seed
errRate = zeros(length(snr),2);

Compute Bit Error Rates

Generate random bits in a gpuArray (Parallel Computing Toolbox) object and let its data flow through the ldpcEncode, pskmod, awgn, pskdemod, ldpcDecode, and biterr functions. For each SNR setting, compute the error statistics for the belief propagation decoding algorithm and the normalized min-sum decoding algorithm.

for ii = 1:length(snr)
    ttlErr = [0 0];
    noiseVariance = 1/10^(snr(ii)/10);
    for counter = 1:numCalls
        data = gpuArray.randi([0 1],encoderCfg.NumInformationBits,numFramesPerCall,'logical');

        % Transmit and receive LDPC coded signal data
        encData = ldpcEncode(data,encoderCfg);
        modSig = pskmod(encData,M,pi/4,'InputType','bit');
        rxSig = awgn(modSig,snr(ii)); % Signal power = 0 dBW
        demodSig = pskdemod(rxSig,M,pi/4,...
            'OutputType','approxllr','NoiseVariance',noiseVariance);

        % Decode and update number of bit errors

        % Using bp
        rxBits1 = ldpcDecode(demodSig,decoderCfg1,maxNumIter);
        numErr1 = biterr(data,rxBits1);

        % Using norm-min-sum
        rxBits2 = ldpcDecode(demodSig,decoderCfg2,maxNumIter);
        numErr2 = biterr(data,rxBits2);

        ttlErr = ttlErr + [numErr1 numErr2];
    end
    ttlBits = numCalls*numel(rxBits1);
    
    errRate(ii,:) = ttlErr/ttlBits;
end

Compare Bit Error Rates

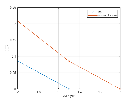
Plot the error statistics. The belief propagation algorithm is expected to achieve a slightly lower bit error rate than the normalized min-sum algorithm.

plot(snr,errRate,'-x')
grid on
legend('bp','norm-min-sum')
xlabel('SNR (dB)')
ylabel('BER')

Figure contains an axes object. The axes object with xlabel SNR (dB), ylabel BER contains 2 objects of type line. These objects represent bp, norm-min-sum.

Compare Speeds

Compare the execution speeds of four cases. By default, ldpcDecode terminates decoding when all parity checks are satisfied.

% Use belief propagation algorithm on CPU, without multithreading
demodSigCPU = gather(demodSig);
tic
[rxBitsCPU1,actualNumIterCPU1,finalParityChecksCPU1] = ...
    ldpcDecode(demodSigCPU,decoderCfg1,maxNumIter,'Multithreaded',false);
toc
Elapsed time is 4.270400 seconds.
% Use belief propagation algorithm on CPU, with multithreading
tic
[rxBitsCPU2,actualNumIterCPU2,finalParityChecksCPU2] = ...
    ldpcDecode(demodSigCPU,decoderCfg1,maxNumIter);
toc
Elapsed time is 1.069500 seconds.
% Use belief propagation algorithm on GPU
tic
[rxBits1,actualNumIter1,finalParityChecks1] = ...
    ldpcDecode(demodSig,decoderCfg1,maxNumIter);
toc
Elapsed time is 2.117112 seconds.
% Use normalized min-sum algorithm on GPU
tic
[rxBits2,actualNumIter2,finalParityChecks2] = ...
    ldpcDecode(demodSig,decoderCfg2,maxNumIter);
toc
Elapsed time is 0.615488 seconds.

Examine Optional Decoder Outputs

Confirm that the normalized min-sum algorithm needs fewer iterations than the belief propagation algorithm when the SNR is sufficiently high.

length(find(actualNumIter2 < actualNumIter1))
ans = 
50
length(find(actualNumIter2 == actualNumIter1))
ans = 
0

Confirm that the final parity checks are all zeros when the actual number of iterations executed is less than the maximum number of iterations specified.

nnz(finalParityChecks1(:,actualNumIter1<maxNumIter))
ans = 
0
nnz(finalParityChecks2(:,actualNumIter2<maxNumIter))
ans = 
0

Restore the state for random number generation.

rng(s);

Input Arguments

collapse all

Log-likelihood ratios, specified as a matrix with the number of rows equal to the BlockLength property of the input decodercfg. Each column of llr corresponds to a codeword. The function decodes each column independently. A positive LLR indicates that the corresponding bit is more likely a zero.

Data Types: double | single

LDPC decoder configuration, specified as an ldpcDecoderConfig object.

Maximum number of decoding iterations, specified as a positive scalar.

Data Types: double

Name-Value Arguments

collapse all

Specify optional pairs of arguments as Name1=Value1,...,NameN=ValueN, where Name is the argument name and Value is the corresponding value. Name-value arguments must appear after other arguments, but the order of the pairs does not matter.

Example: Termination='max'

Output format, specified as one of these values:

  • 'info' — Output only the decoded information bits. The number of rows that the function outputs equals the NumInformationBitsproperty for the input decodercfg.

  • 'whole' — Output all of the decoded LDPC codeword bits, including information bits and parity-check bits. The number of rows that the function outputs equals the BlockLength property for the input decodercfg.

Decision type for LDPC decoding, specified as one of these values:

  • 'hard' — Perform hard-decision decoding and output decoded bits as values of int8 data type.

  • 'soft' — Perform soft-decision decoding and output LLRs with the same data type as the input.

Scaling factor for the normalized min-sum decoding algorithm, specified as a scalar in the range (0, 1]. For more information, see Normalized Min-Sum Decoding.

Dependencies

To enable this property, set the Algorithm property of the input decodercfg to 'norm-min-sum'.

Offset for the min-sum decoding algorithm, specified as a scalar. For more information, see Offset Min-Sum Decoding.

Dependencies

To enable this property, set the Algorithm property of the input decodercfg to 'offset-min-sum'.

Decoding termination criteria, specified as one of these values:

  • 'early' — Terminate decoding iterations when all of the parity checks are satisfied, up to a maximum number of iterations specified by input maxnumiter.

  • 'max' — Terminate decoding when the maximum number of iterations, maxnumiter, are complete.

Enable multithreaded execution on the CPU, specified as a logical 1 (true) or 0 (false). When you run MATLAB® in interpreted mode and set this argument to true, the function executes the decoding algorithm with multiple threads. The function turns off multithreaded execution when NumRowsPerLayer = 1 in the input decodercfg object.

Tip

  • For large parity-check matrices, multithreaded execution significantly reduces the processing time for LDPC decoding.

Dependencies

To enable this property, run MATLAB on the CPU in interpreted mode.

Output Arguments

collapse all

Decoded codewords, returned as a matrix with K rows that represent the decoded bits for llr(1:K,:). K equals the NumInformationBits property of the input decodercfg. For the decoding operation, each column of llr corresponds to a codeword. The function decodes each column independently. The OutputFormat name-value argument specifies whether the output contains decoded information bits (default) or whole LDPC codeword bits. The DecisionType name-value argument specifies and determines the decoding decision type and the data type of this output.

For more information, see Algorithms.

Data Types: int8 | double | single

Actual number of decoding iterations, returned as a row vector. If all of the parity checks for a codeword are satisfied, decoding can stop before the maximum number of iterations, maxnumiter, is reached. This output is a row vector of the actual number of iterations that the function executes for the codewords.

Data Types: double

Final parity checks for each codeword, returned as a matrix with the number of rows equal to the ParityCheckBits property of input decodercfg. For the decoding operation, each column of this output is the final parity checks for the corresponding codeword.

Data Types: double

Algorithms

collapse all

LDPC decoding using one of these message-passing algorithms.

References

[1] IEEE® Std 802.11™-2020 (Revision of IEEE Std 802.11-2016). "Part 11: Wireless LAN Medium Access Control (MAC) and Physical Layer (PHY) Specifications." IEEE Standard for Information technology — Telecommunications and information exchange between systems. Local and metropolitan area networks — Specific requirements.

[2] Gallager, Robert G. Low-Density Parity-Check Codes. Cambridge, MA: MIT Press, 1963.

[3] Hocevar, D.E. "A reduced complexity decoder architecture via layered decoding of LDPC codes." In IEEE Workshop on Signal Processing Systems, 2004. SIPS 2004, 107-112. https://doi.org/10.1109/SIPS.2004.1363033.

[4] Chen, Jinghu, R.M. Tanner, C. Jones, and Yan Li. "Improved min-sum decoding algorithms for irregular LDPC codes." In Proceedings. International Symposium on Information Theory, 2005. ISIT 2005. https://doi.org/10.1109/ISIT.2005.1523374.

Extended Capabilities

expand all

C/C++ Code Generation
Generate C and C++ code using MATLAB® Coder™.

Version History

Introduced in R2021b

expand all