Runge-Kutta-Fehlberg (RKF45)
In mathematics, the Runge–Kutta–Fehlberg method (or Fehlberg method) is an algorithm in numerical analysis for the numerical solution of ordinary differential equations. It was developed by the German mathematician Erwin Fehlberg and is based on the large class of Runge–Kutta methods.
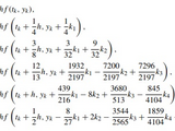
The novelty of Fehlberg's method is that it is an embedded method from the Runge–Kutta family, meaning that identical function evaluations are used in conjunction with each other to create methods of varying order and similar error constants. The method presented in Fehlberg's 1969 paper has been dubbed the RKF45 method, and is a method of order 4 with an error estimator of order 5. By performing one extra calculation, the error in the solution can be estimated and controlled by using the higher-order embedded method that allows for an adaptive stepsize to be determined automatically.
Reference:
John H. Mathews and Kurtis K. Fink, Numerical Methods Using Matlab, 4th Edition, 2004.
Cite As
Meysam Mahooti (2026). Runge-Kutta-Fehlberg (RKF45) (https://www.mathworks.com/matlabcentral/fileexchange/73881-runge-kutta-fehlberg-rkf45), MATLAB Central File Exchange. Retrieved .
MATLAB Release Compatibility
Platform Compatibility
Windows macOS LinuxCategories
- Mathematics and Optimization > Optimization Toolbox > Systems of Nonlinear Equations > Newton-Raphson Method >
Tags
Discover Live Editor
Create scripts with code, output, and formatted text in a single executable document.
| Version | Published | Release Notes | |
|---|---|---|---|
| 1.0.0 |
