BLDC Hysteresis Current Control
This example shows how to control the currents in a BLDC based electrical drive using hysteresis controllers. A DC voltage source feeds the BLDC through a controlled three-phase inverter. A ramp of current request is provided to the motor controller. The load torque is quadratically dependent on the rotor speed. The Control subsystem implements the hysteresis-based current control strategy. The Scopes subsystem contains scopes that allow you to see the simulation results.
Model

Simulation Results from Simscape Logging
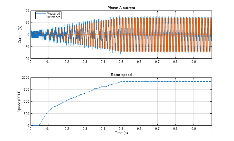
The plot below shows the requested and measured current on phase A for the test and the rotor speed in the electric drive.

Results from Real-Time Simulation
This example has been tested on a Speedgoat Performance real-time target machine with an Intel® 3.5 GHz i7 multi-core CPU. This model can run in real time with a step size of 100 microseconds.
See Also
BLDC | Converter (Three-Phase)