eyeDiagramSI
Description
The eyeDiagramSI
System object™ creates an eye diagram object by accumulating a 2-D histogram from time-domain
eye diagram data. The object makes it easier to create large data sets and perform metric
calculations.
To create the eye diagram object:
Create the
eyeDiagramSIobject and set its properties.Call the object with arguments, as if it were a function.
To learn more about how System objects work, see What Are System Objects?
Creation
Syntax
Description
eye = eyeDiagramSI returns an eye diagram object that accumulates
an eye diagram as 2-D histograms.
Properties
Unless otherwise indicated, properties are nontunable, which means you cannot change their
values after calling the object. Objects lock when you call them, and the
release function unlocks them.
If a property is tunable, you can change its value at any time.
For more information on changing property values, see System Design in MATLAB Using System Objects.
Nominal center amplitude for each eye opening in the eye diagram, specified as a vector.
Note
if you do not define the SymbolThresholds property, the
object automatically calculates the symbol thresholds based on the
Modulation property.
Tunable: Yes
Data Types: double
Elapsed time between adjacent samples in the input data, specified as a scalar in seconds.
Tunable: Yes
Data Types: double
Time span of one symbol, specified as a scalar in seconds.
Tunable: Yes
Data Types: double
Edge detection threshold for waveform clock signals, specified as a scalar.
Tunable: Yes
Data Types: double
Number of symbol levels in the eye diagram, specified as a scalar.
Note
If you do not define the Modulation property or it is set to
0, the object automatically sets it to ( number of eyes defined by the SymbolThresholds
property+1).
Data Types: double
Method to sample waveform clock signals, specified as one of these:
Auto— Detect theclockinput argument to automatically set theSampleOnproperty.If the clock signal is monotonically increasing, the System object considers it a time-based clock signal and sets
SampleOntoTimes.If the clock signal is non-monotonically increasing, the System object considers it a waveform and sets
SampleOntoRising.Rising— Sample thedatawaveform at the rising edge of theclockwaveform.Falling— Sample thedatawaveform at the falling edge of theclockwaveform.Both— Sample thedatawaveform at both rising and falling edges of theclockwaveform.Times— Sample thedatawaveform at the time values specified by theclocksignal.
Data Types: char
Method used by recovered clock to capture data, specified as one of these:
Auto— Detect theclockinput argument to automatically set theClockModeproperty.If you provide a clock signal, set
ClockModetoClocked. Otherwise, setClockModetoIdeal.Clocked— Capture data using theclockinput.Ideal— Capture data and clock using an ideal reference clock source.Convolved— Capture data and clock PDF in the ideal mode and convolve them to present an eye diagram and clock pdf that look as though they were captured in the clocked mode.
For more information, see Clock Modes (Signal Integrity Toolbox).
Data Types: char
Algorithm used for clock phase detector (CDR). For more information, see Phase Detectors: Baud-Rate Type-A Versus Bang-Bang.
The phase detector algorithm used by the eyeDiagramSI
System object are not full CDRs. They choose the best static phase to match the entire
input data all at once, rather than adapting the phase to the data over time.
Data Types: char
Phase delay for moving clock PDF, specified as a nonnegative real scalar. The unit
of the phase offset delay is specified by the
PhaseOffsetUnit.
ClockPhaseOffset applies to the external clock you provide when
you set the ClockMode to Clocked. If you do not
provide an external clock, the object generates the clock PDF from an ideal reference
clock.
Data Types: double
Delay between the ideal reference clock edge and the timing origin, specified as a
nonnegative real scalar. The unit of the phase offset delay is specified by the
PhaseOffsetUnit.
When you set the ClockMode to Ideal or
Convolved, the WindowPhaseOffset is used to
determine the window position relative to an internal ideal reference clock.
Data Types: double
Unit for phase offset delay, specified as Seconds,
Samples, or UI.
Data Types: char
The width of the eye diagram in symbols, specified as a scalar.
Data Types: double
Number of time bins in the eye diagram, specified as a scalar.
Data Types: double
Number of amplitude bins in the eye diagram, specified as a scalar.
Data Types: double
Minimum and maximum eye amplitudes contained in the eye diagram, specified as a two-element vector.
Data Types: double
Eye diagram stack calculated for each symbol in the data, specified as a vector. The System object automatically sets this property from the data that you read in.
Tunable: Yes
Data Types: double
2D eye histogram spanning 1 or more UIs, specified as a vector, with time on the x-axis and amplitude on the y-axis. The System object automatically sets this property from the data that you read in.
Tunable: Yes
Data Types: double
Histogram of clock edge times relative to the timing origin, specified as a vector. This property is automatically set from the data that you read in.
Tunable: Yes
Data Types: double
Usage
Description
Input Arguments
Uniformly sampled waveform data, specified as a vector. The System object uses this data to create an eye diagram object.
Sampling clock signal for input data, specified as a vector. The System object centers the windows for the eye pattern on the clock edges or clock
times depending on the SampleOn property.
Symbol threshold(s) to use to separate symbols, specified as a vector or a matrix.
The System object uses this value to separate symbols when building the eye diagram. If
you provide this information, it increases the robustness of PAMn metrics. By default,
its values is set to the value of the SymbolThresholds
property.
Output Arguments
Eye diagram, created as an eye diagram object. The object is as an accumulation of 2-D histograms from the eye diagram data.
Object Functions
To use an object function, specify the
System object as the first input argument. For
example, to release system resources of a System object named obj, use
this syntax:
release(obj)
eyeLevels (Mixed-Signal Blockset) | Measure symbol level statistics from eye diagram |
eyeAmplitude (Mixed-Signal Blockset) | Measure eye amplitude |
eyeCrossing (Mixed-Signal Blockset) | Measure eye crossing points |
eyeCenter (Mixed-Signal Blockset) | Measure eye center point |
risetime (Mixed-Signal Blockset) | Measure rise time from eye diagram |
falltime (Mixed-Signal Blockset) | Measure fall time from eye diagram |
eyeHeight (Mixed-Signal Blockset) | Measure vertical eye opening |
eyeWidth (Mixed-Signal Blockset) | Measure horizontal eye opening |
eyeArea (Mixed-Signal Blockset) | Measure eye area |
vec (Mixed-Signal Blockset) | Measure vertical eye closure |
com (Mixed-Signal Blockset) | Measure channel operating margin |
eyeLinearity (Mixed-Signal Blockset) | Measure eye linearity |
Examples
This example shows how to use eyeDiagramSI System object™ to measure properties of a sampled data signal originating from laboratory data and check eye opening compliance against an eye mask.
Save the waveform data in a Standard File Format, or a format for which a reader is available on the File Exchange.
Use readmatrix to read cells from the file into a matrix, starting at cell A5 to skip the metadata.
waveforms = readmatrix("pam5_waveforms.csv", "Range", "A5");
Our example data file contains multiple signals as different columns. Extract the third column as the signal to analyze.
pam5Wave = waveforms(:, 3);
Enter the waveform's characteristics if they weren't included with the file.
symbolTime = 66.67e-12; samplesPerSymbol = 32; modulation = 5;
Create an eyeDiagramSI System object.
eyeDiagram = eyeDiagramSI; eyeDiagram.SymbolTime = symbolTime; eyeDiagram.SampleInterval = symbolTime / samplesPerSymbol; eyeDiagram.Modulation = modulation;
Feed the data into the eyeDiagramSI System object.
eyeDiagram(pam5Wave);
Visualize the resulting eye diagram.
plot(eyeDiagram);

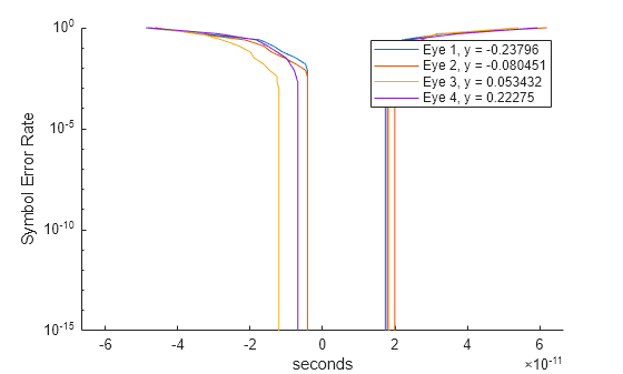
Plot time-axis bathtub curves for each eye opening. Eyes are ordered from lowest center amplitude to highest.
bathtub(eyeDiagram, "Time")
Define a rectangular eyeMask object that is 0.2 Unit Intervals (UI) wide and 0.02 amplitude units tall. You can create an eyeMask directly using X and Y coordinate vectors to define vertices of the mask shape, or use the eyeMaskRectangle function with a width and height.
% mask = eyeMask([-0.1, -0.1, 0.1, 0.1], [-0.01, 0.01, 0.01, -0.01]);
mask = eyeMaskRectangle(0.2, 0.02);Position the mask center 0.1 UI right of the timing origin.
mask.Position = [0.1, 0];
Measure the margin between the mask and the eye openings.
margins = margin(mask, eyeDiagram, "Plot", "on")

margins = 4×2
0.0049 0.0210
-0.0075 -0.0630
0.0177 0.0553
0.0079 0.0473
The second eye from the bottom of the diagram is not compliant with the mask; it has negative values for its minimum width and height margins.
This example show show to measure the signal properties of a sampled data signal such as eye height, eye width, and more using the eyeDiagramSI System object™.
Create a PAM3 signal using the serdes.Stimulus System object. The signal has a symbol time of 100e-12 and 16 samples per symbol that contains 1000 symbols of data.
symbols = 1000; samplesPerSymbol = 16; symbolTime = 100e-12; sampleInterval = symbolTime / samplesPerSymbol; modulation = 3; stimulusGenerator = serdes.Stimulus; stimulusGenerator.Modulation = modulation; stimulusGenerator.SampleInterval = sampleInterval; stimulusGenerator.SymbolTime = symbolTime;
Create a channel model with 2 dB loss using the serdes.ChannelLoss System object.
channelModel = serdes.ChannelLoss; channelModel.dt = sampleInterval; channelModel.Loss = 2;
Run the stimulus waveform through the channel model.
out = zeros(samplesPerSymbol * symbols, 1); for i = 1:samplesPerSymbol * symbols out(i) = channelModel(stimulusGenerator()); end
Trim the beginning of the channel output to remove the influence of initial conditions.
outTrim = out(2001:end);
Create an eyeDiagramSI System object that has the same property values as the stimulus above.
eyeDiagram = eyeDiagramSI; eyeDiagram.SampleInterval = sampleInterval; eyeDiagram.SymbolTime = symbolTime; eyeDiagram.Modulation = modulation;
Feed the channel output data into the eyeDiagramSI system object.
eyeDiagram(outTrim);
Visualize the resulting eye diagram plot.
plot(eyeDiagram);

Measure the best eye height for each eye opening. Results are presented for each eye opening from the lowest to highest eye center amplitude.
[bestHeight, timeAtBestHeight] = eyeHeight(eyeDiagram)
bestHeight = 2×1
0.1787
0.1853
timeAtBestHeight = 2×1
10-11 ×
0.7087
0.6299
Measure the eye width at the symbol threshold levels for each eye opening.
width = eyeWidth(eyeDiagram, eyeDiagram.SymbolThresholds)
width = 2×1
10-10 ×
0.3535
0.3141
Measure the mean symbol levels at the center of the eye diagram (t = 0) and overlay the result on the eye diagram plot.
levels = eyeLevels(eyeDiagram, 0, "Plot", "on")

levels = 3×1
-0.4060
0.0028
0.4128
Version History
Introduced in R2024aUse the ClockPhaseOffset argument to move the clock PDF. This is
useful when ClockMode is clocked to center the eye in the diagram, or
in other modes to move the clock PDF relative to the eye diagram. Use
WindowPhaseOffset argument to move the eye diagram window in ideal or
convolved clock modes.
See Also
Eye Measurement (Mixed-Signal Blockset) | eyeContour (Mixed-Signal Blockset) | eyeMask (Mixed-Signal Blockset)
MATLAB Command
You clicked a link that corresponds to this MATLAB command:
Run the command by entering it in the MATLAB Command Window. Web browsers do not support MATLAB commands.
Select a Web Site
Choose a web site to get translated content where available and see local events and offers. Based on your location, we recommend that you select: .
You can also select a web site from the following list
How to Get Best Site Performance
Select the China site (in Chinese or English) for best site performance. Other MathWorks country sites are not optimized for visits from your location.
Americas
- América Latina (Español)
- Canada (English)
- United States (English)
Europe
- Belgium (English)
- Denmark (English)
- Deutschland (Deutsch)
- España (Español)
- Finland (English)
- France (Français)
- Ireland (English)
- Italia (Italiano)
- Luxembourg (English)
- Netherlands (English)
- Norway (English)
- Österreich (Deutsch)
- Portugal (English)
- Sweden (English)
- Switzerland
- United Kingdom (English)