Hydraulic Clutch System
This example shows how to model, parameterize, and test a hydraulic clutch system. The model is used to generate the plot of the engine and the transmission system speeds during a declutching and clutch re-engaging scenario.
Model
The following figure shows the model of a hydraulic clutch system in a test harness. The output of the model is a plot of speeds versus time of the engine and the transmission systems during the declutching and clutch re-engaging scenario.

Single-Stage Primary Cylinder Subsystem
The following figure shows the modeling part of the single-stage primary cylinder.

Secondary Cylinder Subsystem
The following figure shows the modeling part of the secondary cylinder.

Automotive Clutch Subsystem
This subsystem shows how the clutch is modeled. The clutch consists of a lever mechanism, a diaphragm spring, a pressure plate, a set of clutch plates, and a hub. The lever transfers force to the diaphragm spring when a force is applied on the other end of the lever by the secondary cylinder. The applied force on the diaphragm spring causes the pressure plate to remove the pre-applied force on the clutch plate. The declutching takes place when the force on the clutch plate is removed through the removal of the force on the pressure plate by the diaphragm spring's action. No torque is transferred from the engine to the transmission after the declutching event.

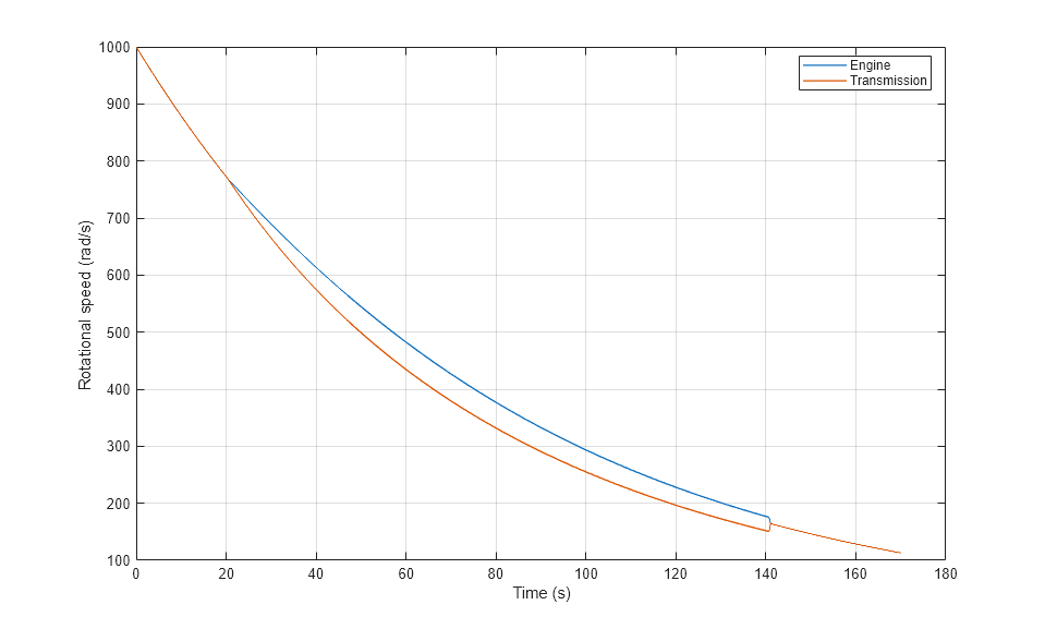
Simulation Results from Simscape™ Logging
This model generates a plot of speeds versus time of the engine and the transmission systems during the declutching and clutch re-engaging scenario.
