Optimize Lookup Tables for Memory-Efficiency Programmatically
The following examples show how to generate memory-efficient lookup tables programmatically. Using the command-line equivalent of the Lookup Table Optimizer, you can:
Optimize an existing Lookup Table block.
Generate a lookup table from a Math Function block.
Generate a lookup table from a function or function handle.
Generate a lookup table from a Subsystem block.
Approximate a Function Using a Lookup Table
This example shows how to generate a memory-efficient lookup table that approximates the sin function. Define the approximation problem by creating a FunctionApproximation.Problem object.
P = FunctionApproximation.Problem('sin')
P =
1×1 FunctionApproximation.Problem with properties:
FunctionToApproximate: @(x)sin(x)
NumberOfInputs: 1
InputTypes: "numerictype(0,16,13)"
InputLowerBounds: 0
InputUpperBounds: 6.2832
OutputType: "numerictype(1,16,14)"
Options: [1×1 FunctionApproximation.Options]
The FunctionToApproximate and NumberOfInputs properties of the Problem object are inferred from the definition of the object, and cannot be edited after creation. All other properties are writable.
Edit the FunctionApproximation.Options object to specify additional constraints to use in the optimization process. For example, constrain the breakpoints of the generated lookup table to even spacing.
P.Options.BreakpointSpecification = 'EvenSpacing'
P =
1×1 FunctionApproximation.Problem with properties:
FunctionToApproximate: @(x)sin(x)
NumberOfInputs: 1
InputTypes: "numerictype(0,16,13)"
InputLowerBounds: 0
InputUpperBounds: 6.2832
OutputType: "numerictype(1,16,14)"
Options: [1×1 FunctionApproximation.Options]
Specify additional constraints, such as the absolute and relative tolerances of the output, and word length constraints.
P.Options.AbsTol = 2^-10; P.Options.RelTol = 2^-6; P.Options.WordLengths = [8,16];
Use the solve method to solve the optimization problem. MATLAB® displays the iterations of the optimization process. The solve method returns a FunctionApproximation.LUTSolution object.
S = solve(P)
Searching for fixed-point solutions.
| ID | Memory (bits) | Feasible | Table Size | Breakpoints WLs | TableData WL | BreakpointSpecification | Error(Max,Current) |
| 0 | 48 | 0 | 2 | 8 | 16 | EvenSpacing | 9.765625e-04, 1.007261e+00 |
| 1 | 32 | 0 | 2 | 8 | 8 | EvenSpacing | 9.765625e-04, 1.007261e+00 |
| 2 | 672 | 0 | 41 | 8 | 16 | EvenSpacing | 9.765625e-04, 3.322094e-02 |
| 3 | 560 | 0 | 34 | 8 | 16 | EvenSpacing | 9.765625e-04, 9.553784e-02 |
| 4 | 1104 | 0 | 68 | 8 | 16 | EvenSpacing | 9.765625e-04, 1.970943e-03 |
| 5 | 1648 | 1 | 102 | 8 | 16 | EvenSpacing | 9.765625e-04, 7.988139e-05 |
| 6 | 480 | 0 | 29 | 8 | 16 | EvenSpacing | 9.765625e-04, 1.575496e-01 |
| 7 | 832 | 0 | 51 | 8 | 16 | EvenSpacing | 9.765625e-04, 3.322094e-02 |
| 8 | 320 | 0 | 19 | 8 | 16 | EvenSpacing | 9.765625e-04, 9.553784e-02 |
| 9 | 64 | 0 | 2 | 16 | 16 | EvenSpacing | 9.765625e-04, 9.853516e-01 |
| 10 | 48 | 0 | 2 | 16 | 8 | EvenSpacing | 9.765625e-04, 9.853516e-01 |
| 11 | 640 | 1 | 38 | 16 | 16 | EvenSpacing | 9.765625e-04, 6.281694e-04 |
| 12 | 624 | 0 | 37 | 16 | 16 | EvenSpacing | 9.765625e-04, 3.435787e-03 |
| 13 | 496 | 0 | 29 | 16 | 16 | EvenSpacing | 9.765625e-04, 9.943803e-04 |
| 14 | 480 | 0 | 28 | 16 | 16 | EvenSpacing | 9.765625e-04, 1.238521e-03 |
| 15 | 560 | 0 | 33 | 16 | 16 | EvenSpacing | 9.765625e-04, 1.970943e-03 |
| 16 | 592 | 0 | 35 | 16 | 16 | EvenSpacing | 9.765625e-04, 3.679927e-03 |
| 17 | 608 | 0 | 36 | 16 | 16 | EvenSpacing | 9.765625e-04, 2.703365e-03 |
| 18 | 352 | 1 | 20 | 16 | 16 | EvenSpacing | 9.765625e-04, 5.671342e-04 |
| 19 | 336 | 0 | 19 | 16 | 16 | EvenSpacing | 9.765625e-04, 1.325779e-03 |
| 20 | 208 | 0 | 11 | 16 | 16 | EvenSpacing | 9.765625e-04, 3.430176e-02 |
| 21 | 272 | 0 | 15 | 16 | 16 | EvenSpacing | 9.765625e-04, 1.043701e-02 |
| 22 | 304 | 0 | 17 | 16 | 16 | EvenSpacing | 9.765625e-04, 4.526615e-03 |
| 23 | 320 | 0 | 18 | 16 | 16 | EvenSpacing | 9.765625e-04, 2.378452e-03 |
| 24 | 48 | 0 | 2 | 8 | 16 | EvenPow2Spacing | 9.765625e-04, 1.300802e+00 |
| 25 | 224 | 0 | 13 | 8 | 16 | EvenPow2Spacing | 9.765625e-04, 2.794368e-01 |
| 26 | 64 | 0 | 2 | 16 | 16 | EvenPow2Spacing | 9.765625e-04, 1.300802e+00 |
| 27 | 240 | 0 | 13 | 16 | 16 | EvenPow2Spacing | 9.765625e-04, 2.794368e-01 |
| 28 | 1648 | 1 | 102 | 8 | 16 | EvenPow2Spacing | 9.765625e-04, 7.988139e-05 |
Best Solution
| ID | Memory (bits) | Feasible | Table Size | Breakpoints WLs | TableData WL | BreakpointSpecification | Error(Max,Current) |
| 18 | 352 | 1 | 20 | 16 | 16 | EvenSpacing | 9.765625e-04, 5.671342e-04 |
S =
1×1 FunctionApproximation.LUTSolution with properties:
ID: 18
Feasible: "true"
Compare the numerical behavior of the original function with the numerical behavior of the generated lookup table stored in the solution, S.
err = compare(S)
err =
struct with fields:
Breakpoints: [51473×1 double]
Original: [51473×1 double]
Approximate: [51473×1 double]

You can access the lookup table data stored in the LUTSolution object.
t = S.TableData
t =
struct with fields:
BreakpointValues: {[0 0.3307 0.6614 0.9921 1.3228 … ] (1×20 double)}
BreakpointDataTypes: [1×1 embedded.numerictype]
TableValues: [4.2725e-04 0.3278 0.6200 0.8420 … ] (1×20 double)
TableDataType: [1×1 embedded.numerictype]
IsEvenSpacing: 1
Interpolation: Linear
To access the generated Lookup Table block, use the approximate method.
approximate(S)

Optimize an Existing Lookup Table
This example shows how to optimize an existing Lookup Table block for memory efficiency. Open the model containing the Lookup Table block that you want to optimize.
load_system('sldemo_fuelsys'); open_system('sldemo_fuelsys'); save_system('sldemo_fuelsys','my_sldemo_fuelsys'); open_system('my_sldemo_fuelsys/fuel_rate_control/airflow_calc');

Create a FunctionApproximation.Problem object to define the optimization problem and constraints.
P = FunctionApproximation.Problem('my_sldemo_fuelsys/fuel_rate_control/airflow_calc/Pumping Constant')
P =
1×1 FunctionApproximation.Problem with properties:
FunctionToApproximate: 'my_sldemo_fuelsys/fuel_rate_control/airflow_calc/Pumping Constant'
NumberOfInputs: 2
InputTypes: ["numerictype('single')" "numerictype('single')"]
InputLowerBounds: [50 0.0500]
InputUpperBounds: [1000 0.9500]
OutputType: "numerictype('single')"
Options: [1×1 FunctionApproximation.Options]
Specify additional constraints by modifying the Options object associated with the Problem object, P.
P.Options.BreakpointSpecification = "EvenSpacing"
P =
1×1 FunctionApproximation.Problem with properties:
FunctionToApproximate: 'my_sldemo_fuelsys/fuel_rate_control/airflow_calc/Pumping Constant'
NumberOfInputs: 2
InputTypes: ["numerictype('single')" "numerictype('single')"]
InputLowerBounds: [50 0.0500]
InputUpperBounds: [1000 0.9500]
OutputType: "numerictype('single')"
Options: [1×1 FunctionApproximation.Options]
Solve the optimization problem.
S = solve(P)
Performing lossless compression.
| ID | Memory (bits) | Feasible | Table Size | Breakpoints WLs | TableData WL | BreakpointSpecification | Error(Max,Current) |
| 0 | 12128 | 1 | [18 19] | [32 32] | 32 | ExplicitValues | 7.812500e-03, 0.000000e+00 |
| 1 | 11840 | 1 | [18 19] | [16 32] | 32 | ExplicitValues | 7.812500e-03, 0.000000e+00 |
Searching for fixed-point solutions.
| 2 | 80 | 0 | [2 2] | [16 8] | 8 | EvenSpacing | 7.812500e-03, 1.047644e-01 |
| 3 | 336 | 0 | [6 6] | [16 8] | 8 | EvenSpacing | 7.812500e-03, 5.359918e-02 |
| 4 | 288 | 0 | [5 6] | [16 8] | 8 | EvenSpacing | 7.812500e-03, 5.763347e-02 |
| 5 | 288 | 0 | [6 5] | [16 8] | 8 | EvenSpacing | 7.812500e-03, 5.852515e-02 |
| 6 | 248 | 0 | [5 5] | [16 8] | 8 | EvenSpacing | 7.812500e-03, 6.254357e-02 |
| 7 | 1016 | 0 | [11 11] | [16 8] | 8 | EvenSpacing | 7.812500e-03, 3.732740e-02 |
| 8 | 928 | 0 | [10 11] | [16 8] | 8 | EvenSpacing | 7.812500e-03, 3.980108e-02 |
| 9 | 928 | 0 | [11 10] | [16 8] | 8 | EvenSpacing | 7.812500e-03, 3.733837e-02 |
| 10 | 848 | 0 | [10 10] | [16 8] | 8 | EvenSpacing | 7.812500e-03, 3.981027e-02 |
| 11 | 3408 | 0 | [21 20] | [16 8] | 8 | EvenSpacing | 7.812500e-03, 3.073816e-02 |
| 12 | 3248 | 0 | [20 20] | [16 8] | 8 | EvenSpacing | 7.812500e-03, 3.182055e-02 |
| 13 | 7008 | 0 | [29 30] | [16 8] | 8 | EvenSpacing | 7.812500e-03, 3.203207e-02 |
| 14 | 9024 | 0 | [33 34] | [16 8] | 8 | EvenSpacing | 7.812500e-03, 2.947415e-02 |
| 15 | 9568 | 0 | [35 34] | [16 8] | 8 | EvenSpacing | 7.812500e-03, 2.693991e-02 |
| 16 | 9840 | 0 | [36 34] | [16 8] | 8 | EvenSpacing | 7.812500e-03, 2.693303e-02 |
| 17 | 11592 | 0 | [37 39] | [16 8] | 8 | EvenSpacing | 7.812500e-03, 2.697569e-02 |
| 18 | 840 | 0 | [9 11] | [16 8] | 8 | EvenSpacing | 7.812500e-03, 4.113068e-02 |
| 19 | 768 | 0 | [9 10] | [16 8] | 8 | EvenSpacing | 7.812500e-03, 4.113972e-02 |
| 20 | 3088 | 0 | [19 20] | [16 8] | 8 | EvenSpacing | 7.812500e-03, 3.294589e-02 |
| 21 | 2928 | 0 | [18 20] | [16 8] | 8 | EvenSpacing | 7.812500e-03, 3.402773e-02 |
| 22 | 11280 | 0 | [36 39] | [16 8] | 8 | EvenSpacing | 7.812500e-03, 2.696199e-02 |
| 23 | 1848 | 0 | [15 15] | [16 8] | 8 | EvenSpacing | 7.812500e-03, 3.395228e-02 |
| 24 | 1728 | 0 | [14 15] | [16 8] | 8 | EvenSpacing | 7.812500e-03, 3.526947e-02 |
| 25 | 1728 | 0 | [15 14] | [16 8] | 8 | EvenSpacing | 7.812500e-03, 3.394671e-02 |
| 26 | 1616 | 0 | [14 14] | [16 8] | 8 | EvenSpacing | 7.812500e-03, 3.526382e-02 |
| 27 | 6768 | 0 | [28 30] | [16 8] | 8 | EvenSpacing | 7.812500e-03, 3.200894e-02 |
| 28 | 6080 | 0 | [29 26] | [16 8] | 8 | EvenSpacing | 7.812500e-03, 3.203845e-02 |
| 29 | 5872 | 0 | [28 26] | [16 8] | 8 | EvenSpacing | 7.812500e-03, 3.201495e-02 |
| 30 | 2784 | 0 | [19 18] | [16 8] | 8 | EvenSpacing | 7.812500e-03, 3.294266e-02 |
| 31 | 2640 | 0 | [18 18] | [16 8] | 8 | EvenSpacing | 7.812500e-03, 3.402446e-02 |
| 32 | 128 | 0 | [2 2] | [16 32] | 8 | EvenSpacing | 7.812500e-03, 1.050016e-01 |
| 33 | 384 | 0 | [6 6] | [16 32] | 8 | EvenSpacing | 7.812500e-03, 5.586732e-02 |
| 34 | 336 | 0 | [5 6] | [16 32] | 8 | EvenSpacing | 7.812500e-03, 5.984281e-02 |
| 35 | 336 | 0 | [6 5] | [16 32] | 8 | EvenSpacing | 7.812500e-03, 6.017429e-02 |
| 36 | 296 | 0 | [5 5] | [16 32] | 8 | EvenSpacing | 7.812500e-03, 6.432428e-02 |
| 37 | 1064 | 0 | [11 11] | [16 32] | 8 | EvenSpacing | 7.812500e-03, 3.045144e-02 |
| 38 | 976 | 0 | [10 11] | [16 32] | 8 | EvenSpacing | 7.812500e-03, 3.175086e-02 |
| 39 | 976 | 0 | [11 10] | [16 32] | 8 | EvenSpacing | 7.812500e-03, 3.294543e-02 |
| 40 | 896 | 0 | [10 10] | [16 32] | 8 | EvenSpacing | 7.812500e-03, 3.428509e-02 |
| 41 | 3624 | 0 | [21 21] | [16 32] | 8 | EvenSpacing | 7.812500e-03, 1.122022e-02 |
| 42 | 3456 | 0 | [20 21] | [16 32] | 8 | EvenSpacing | 7.812500e-03, 1.230498e-02 |
| 43 | 3456 | 0 | [21 20] | [16 32] | 8 | EvenSpacing | 7.812500e-03, 1.122023e-02 |
| 44 | 3296 | 0 | [20 20] | [16 32] | 8 | EvenSpacing | 7.812500e-03, 1.230499e-02 |
| 45 | 6824 | 1 | [29 29] | [16 32] | 8 | EvenSpacing | 7.812500e-03, 5.942483e-03 |
| 46 | 5096 | 0 | [25 25] | [16 32] | 8 | EvenSpacing | 7.812500e-03, 1.073996e-02 |
| 47 | 5928 | 0 | [27 27] | [16 32] | 8 | EvenSpacing | 7.812500e-03, 9.911638e-03 |
| 48 | 6368 | 0 | [28 28] | [16 32] | 8 | EvenSpacing | 7.812500e-03, 9.591103e-03 |
| 49 | 888 | 0 | [9 11] | [16 32] | 8 | EvenSpacing | 7.812500e-03, 3.301938e-02 |
| 50 | 816 | 0 | [9 10] | [16 32] | 8 | EvenSpacing | 7.812500e-03, 3.557669e-02 |
| 51 | 3288 | 0 | [19 21] | [16 32] | 8 | EvenSpacing | 7.812500e-03, 1.348407e-02 |
| 52 | 3120 | 0 | [18 21] | [16 32] | 8 | EvenSpacing | 7.812500e-03, 1.477948e-02 |
| 53 | 3136 | 0 | [19 20] | [16 32] | 8 | EvenSpacing | 7.812500e-03, 1.348408e-02 |
| 54 | 2976 | 0 | [18 20] | [16 32] | 8 | EvenSpacing | 7.812500e-03, 1.477949e-02 |
| 55 | 4704 | 0 | [24 24] | [16 32] | 8 | EvenSpacing | 7.812500e-03, 1.143900e-02 |
| 56 | 5504 | 0 | [26 26] | [16 32] | 8 | EvenSpacing | 7.812500e-03, 1.015224e-02 |
| 57 | 1896 | 0 | [15 15] | [16 32] | 8 | EvenSpacing | 7.812500e-03, 1.782543e-02 |
| 58 | 1776 | 0 | [14 15] | [16 32] | 8 | EvenSpacing | 7.812500e-03, 1.896208e-02 |
| 59 | 1776 | 0 | [15 14] | [16 32] | 8 | EvenSpacing | 7.812500e-03, 2.033137e-02 |
| 60 | 1664 | 0 | [14 14] | [16 32] | 8 | EvenSpacing | 7.812500e-03, 2.102681e-02 |
| 61 | 6592 | 0 | [28 29] | [16 32] | 8 | EvenSpacing | 7.812500e-03, 9.233050e-03 |
| 62 | 6592 | 0 | [29 28] | [16 32] | 8 | EvenSpacing | 7.812500e-03, 9.317551e-03 |
| 63 | 2984 | 0 | [19 19] | [16 32] | 8 | EvenSpacing | 7.812500e-03, 1.348408e-02 |
| 64 | 2832 | 0 | [18 19] | [16 32] | 8 | EvenSpacing | 7.812500e-03, 1.477949e-02 |
| 65 | 3576 | 0 | [15 29] | [16 32] | 8 | EvenSpacing | 7.812500e-03, 1.782529e-02 |
| 66 | 5200 | 0 | [22 29] | [16 32] | 8 | EvenSpacing | 7.812500e-03, 1.141367e-02 |
| 67 | 5896 | 0 | [25 29] | [16 32] | 8 | EvenSpacing | 7.812500e-03, 1.040211e-02 |
| 68 | 6360 | 0 | [27 29] | [16 32] | 8 | EvenSpacing | 7.812500e-03, 9.623498e-03 |
| 69 | 3576 | 0 | [29 15] | [16 32] | 8 | EvenSpacing | 7.812500e-03, 1.082240e-02 |
| 70 | 5200 | 1 | [29 22] | [16 32] | 8 | EvenSpacing | 7.812500e-03, 4.581798e-03 |
| 71 | 4272 | 1 | [29 18] | [16 32] | 8 | EvenSpacing | 7.812500e-03, 6.252181e-03 |
| 72 | 3808 | 0 | [29 16] | [16 32] | 8 | EvenSpacing | 7.812500e-03, 9.142157e-03 |
| 73 | 4040 | 1 | [29 17] | [16 32] | 8 | EvenSpacing | 7.812500e-03, 4.846454e-03 |
| 74 | 112 | 0 | [2 2] | [16 8] | 16 | EvenSpacing | 7.812500e-03, 1.054419e-01 |
| 75 | 624 | 0 | [6 6] | [16 8] | 16 | EvenSpacing | 7.812500e-03, 5.441361e-02 |
| 76 | 528 | 0 | [5 6] | [16 8] | 16 | EvenSpacing | 7.812500e-03, 5.850272e-02 |
| 77 | 528 | 0 | [6 5] | [16 8] | 16 | EvenSpacing | 7.812500e-03, 5.939556e-02 |
| 78 | 448 | 0 | [5 5] | [16 8] | 16 | EvenSpacing | 7.812500e-03, 6.330952e-02 |
| 79 | 1984 | 0 | [11 11] | [16 8] | 16 | EvenSpacing | 7.812500e-03, 3.819569e-02 |
| 80 | 1808 | 0 | [10 11] | [16 8] | 16 | EvenSpacing | 7.812500e-03, 4.053834e-02 |
| 81 | 1808 | 0 | [11 10] | [16 8] | 16 | EvenSpacing | 7.812500e-03, 3.820685e-02 |
| 82 | 1648 | 0 | [10 10] | [16 8] | 16 | EvenSpacing | 7.812500e-03, 4.054764e-02 |
| 83 | 2752 | 0 | [13 13] | [16 8] | 16 | EvenSpacing | 7.812500e-03, 3.728967e-02 |
| 84 | 3184 | 0 | [14 14] | [16 8] | 16 | EvenSpacing | 7.812500e-03, 3.594763e-02 |
| 85 | 3648 | 0 | [15 15] | [16 8] | 16 | EvenSpacing | 7.812500e-03, 3.461587e-02 |
| 86 | 1632 | 0 | [9 11] | [16 8] | 16 | EvenSpacing | 7.812500e-03, 4.186375e-02 |
| 87 | 1488 | 0 | [9 10] | [16 8] | 16 | EvenSpacing | 7.812500e-03, 4.187307e-02 |
| 88 | 3408 | 0 | [14 15] | [16 8] | 16 | EvenSpacing | 7.812500e-03, 3.595323e-02 |
| 89 | 3408 | 0 | [15 14] | [16 8] | 16 | EvenSpacing | 7.812500e-03, 3.461035e-02 |
| 90 | 160 | 0 | [2 2] | [16 32] | 16 | EvenSpacing | 7.812500e-03, 1.056961e-01 |
| 91 | 672 | 0 | [6 6] | [16 32] | 16 | EvenSpacing | 7.812500e-03, 5.636005e-02 |
| 92 | 576 | 0 | [5 6] | [16 32] | 16 | EvenSpacing | 7.812500e-03, 6.042351e-02 |
| 93 | 576 | 0 | [6 5] | [16 32] | 16 | EvenSpacing | 7.812500e-03, 6.089346e-02 |
| 94 | 496 | 0 | [5 5] | [16 32] | 16 | EvenSpacing | 7.812500e-03, 6.486014e-02 |
| 95 | 2032 | 0 | [11 11] | [16 32] | 16 | EvenSpacing | 7.812500e-03, 3.086447e-02 |
| 96 | 1856 | 0 | [10 11] | [16 32] | 16 | EvenSpacing | 7.812500e-03, 3.200457e-02 |
| 97 | 1856 | 0 | [11 10] | [16 32] | 16 | EvenSpacing | 7.812500e-03, 3.320324e-02 |
| 98 | 1696 | 0 | [10 10] | [16 32] | 16 | EvenSpacing | 7.812500e-03, 3.437613e-02 |
| 99 | 2800 | 0 | [13 13] | [16 32] | 16 | EvenSpacing | 7.812500e-03, 2.426444e-02 |
| 100 | 3232 | 0 | [14 14] | [16 32] | 16 | EvenSpacing | 7.812500e-03, 2.114150e-02 |
| 101 | 3696 | 0 | [15 15] | [16 32] | 16 | EvenSpacing | 7.812500e-03, 1.866127e-02 |
| 102 | 1680 | 0 | [9 11] | [16 32] | 16 | EvenSpacing | 7.812500e-03, 3.325658e-02 |
| 103 | 1536 | 0 | [9 10] | [16 32] | 16 | EvenSpacing | 7.812500e-03, 3.565369e-02 |
| 104 | 3456 | 0 | [14 15] | [16 32] | 16 | EvenSpacing | 7.812500e-03, 1.986876e-02 |
| 105 | 3456 | 0 | [15 14] | [16 32] | 16 | EvenSpacing | 7.812500e-03, 2.041715e-02 |
| 106 | 80 | 0 | [2 2] | [16 8] | 8 | EvenPow2Spacing | 7.812500e-03, 8.762427e-02 |
| 107 | 176 | 0 | [4 4] | [16 8] | 8 | EvenPow2Spacing | 7.812500e-03, 6.649438e-02 |
| 108 | 560 | 0 | [8 8] | [16 8] | 8 | EvenPow2Spacing | 7.812500e-03, 4.443537e-02 |
| 109 | 1848 | 0 | [15 15] | [16 8] | 8 | EvenPow2Spacing | 7.812500e-03, 3.130737e-02 |
| 110 | 128 | 0 | [2 2] | [16 32] | 8 | EvenPow2Spacing | 7.812500e-03, 8.876665e-02 |
| 111 | 224 | 0 | [4 4] | [16 32] | 8 | EvenPow2Spacing | 7.812500e-03, 6.768109e-02 |
| 112 | 608 | 0 | [8 8] | [16 32] | 8 | EvenPow2Spacing | 7.812500e-03, 4.280089e-02 |
| 113 | 1896 | 0 | [15 15] | [16 32] | 8 | EvenPow2Spacing | 7.812500e-03, 1.727375e-02 |
| 114 | 112 | 0 | [2 2] | [16 8] | 16 | EvenPow2Spacing | 7.812500e-03, 8.821005e-02 |
| 115 | 304 | 0 | [4 4] | [16 8] | 16 | EvenPow2Spacing | 7.812500e-03, 6.703682e-02 |
| 116 | 1072 | 0 | [8 8] | [16 8] | 16 | EvenPow2Spacing | 7.812500e-03, 4.518663e-02 |
| 117 | 3648 | 0 | [15 15] | [16 8] | 16 | EvenPow2Spacing | 7.812500e-03, 3.193045e-02 |
| 118 | 160 | 0 | [2 2] | [16 32] | 16 | EvenPow2Spacing | 7.812500e-03, 8.949985e-02 |
| 119 | 352 | 0 | [4 4] | [16 32] | 16 | EvenPow2Spacing | 7.812500e-03, 6.804707e-02 |
| 120 | 1120 | 0 | [8 8] | [16 32] | 16 | EvenPow2Spacing | 7.812500e-03, 4.297789e-02 |
| 121 | 3696 | 0 | [15 15] | [16 32] | 16 | EvenPow2Spacing | 7.812500e-03, 1.764470e-02 |
| 122 | 176 | 0 | [2 2] | [16 8] | 32 | EvenPow2Spacing | 7.812500e-03, 8.821114e-02 |
| 123 | 560 | 0 | [4 4] | [16 8] | 32 | EvenPow2Spacing | 7.812500e-03, 6.703763e-02 |
| 124 | 2096 | 0 | [8 8] | [16 8] | 32 | EvenPow2Spacing | 7.812500e-03, 4.518658e-02 |
| 125 | 224 | 0 | [2 2] | [16 32] | 32 | EvenSpacing | 7.812500e-03, 1.056970e-01 |
| 126 | 1248 | 0 | [6 6] | [16 32] | 32 | EvenSpacing | 7.812500e-03, 5.636011e-02 |
| 127 | 1056 | 0 | [5 6] | [16 32] | 32 | EvenSpacing | 7.812500e-03, 6.042374e-02 |
| 128 | 1056 | 0 | [6 5] | [16 32] | 32 | EvenSpacing | 7.812500e-03, 6.089350e-02 |
| 129 | 896 | 0 | [5 5] | [16 32] | 32 | EvenSpacing | 7.812500e-03, 6.485981e-02 |
| 130 | 3968 | 0 | [11 11] | [16 32] | 32 | EvenSpacing | 7.812500e-03, 3.086332e-02 |
| 131 | 3616 | 0 | [10 11] | [16 32] | 32 | EvenSpacing | 7.812500e-03, 3.200400e-02 |
| 132 | 3616 | 0 | [11 10] | [16 32] | 32 | EvenSpacing | 7.812500e-03, 3.320256e-02 |
| 133 | 3296 | 0 | [10 10] | [16 32] | 32 | EvenSpacing | 7.812500e-03, 3.437598e-02 |
| 134 | 3264 | 0 | [9 11] | [16 32] | 32 | EvenSpacing | 7.812500e-03, 3.325607e-02 |
| 135 | 2976 | 0 | [9 10] | [16 32] | 32 | EvenSpacing | 7.812500e-03, 3.565340e-02 |
| 136 | 224 | 0 | [2 2] | [16 32] | 32 | EvenPow2Spacing | 7.812500e-03, 8.950082e-02 |
| 137 | 608 | 0 | [4 4] | [16 32] | 32 | EvenPow2Spacing | 7.812500e-03, 6.804725e-02 |
| 138 | 2144 | 0 | [8 8] | [16 32] | 32 | EvenPow2Spacing | 7.812500e-03, 4.297808e-02 |
Searching for floating-point solutions.
| 139 | 128 | 0 | [2 2] | [16 16] | 16 | EvenSpacing | 7.812500e-03, 1.056933e-01 |
| 140 | 640 | 0 | [6 6] | [16 16] | 16 | EvenSpacing | 7.812500e-03, 1.070723e-01 |
| 141 | 544 | 0 | [5 6] | [16 16] | 16 | EvenSpacing | 7.812500e-03, 1.167613e-01 |
| 142 | 544 | 0 | [6 5] | [16 16] | 16 | EvenSpacing | 7.812500e-03, 1.070723e-01 |
| 143 | 464 | 0 | [5 5] | [16 16] | 16 | EvenSpacing | 7.812500e-03, 1.167613e-01 |
| 144 | 2000 | 0 | [11 11] | [16 16] | 16 | EvenSpacing | 7.812500e-03, 7.649525e-02 |
| 145 | 1824 | 0 | [10 11] | [16 16] | 16 | EvenSpacing | 7.812500e-03, 8.041156e-02 |
| 146 | 1824 | 0 | [11 10] | [16 16] | 16 | EvenSpacing | 7.812500e-03, 7.557118e-02 |
| 147 | 1664 | 0 | [10 10] | [16 16] | 16 | EvenSpacing | 7.812500e-03, 7.940072e-02 |
| 148 | 2768 | 0 | [13 13] | [16 16] | 16 | EvenSpacing | 7.812500e-03, 6.440965e-02 |
| 149 | 3200 | 0 | [14 14] | [16 16] | 16 | EvenSpacing | 7.812500e-03, 6.104388e-02 |
| 150 | 3664 | 0 | [15 15] | [16 16] | 16 | EvenSpacing | 7.812500e-03, 5.459525e-02 |
| 151 | 1648 | 0 | [9 11] | [16 16] | 16 | EvenSpacing | 7.812500e-03, 8.252526e-02 |
| 152 | 1504 | 0 | [9 10] | [16 16] | 16 | EvenSpacing | 7.812500e-03, 8.145604e-02 |
| 153 | 2368 | 0 | [12 12] | [16 16] | 16 | EvenSpacing | 7.812500e-03, 6.633021e-02 |
| 154 | 3424 | 0 | [14 15] | [16 16] | 16 | EvenSpacing | 7.812500e-03, 6.174578e-02 |
| 155 | 3424 | 0 | [15 14] | [16 16] | 16 | EvenSpacing | 7.812500e-03, 5.392386e-02 |
| 156 | 192 | 0 | [2 2] | [16 16] | 32 | EvenSpacing | 7.812500e-03, 1.056982e-01 |
| 157 | 1216 | 0 | [6 6] | [16 16] | 32 | EvenSpacing | 7.812500e-03, 1.070601e-01 |
| 158 | 1024 | 0 | [5 6] | [16 16] | 32 | EvenSpacing | 7.812500e-03, 1.167491e-01 |
| 159 | 1024 | 0 | [6 5] | [16 16] | 32 | EvenSpacing | 7.812500e-03, 1.070601e-01 |
| 160 | 864 | 0 | [5 5] | [16 16] | 32 | EvenSpacing | 7.812500e-03, 1.167491e-01 |
| 161 | 3936 | 0 | [11 11] | [16 16] | 32 | EvenSpacing | 7.812500e-03, 7.648305e-02 |
| 162 | 3584 | 0 | [10 11] | [16 16] | 32 | EvenSpacing | 7.812500e-03, 8.041827e-02 |
| 163 | 3584 | 0 | [11 10] | [16 16] | 32 | EvenSpacing | 7.812500e-03, 7.556098e-02 |
| 164 | 3264 | 0 | [10 10] | [16 16] | 32 | EvenSpacing | 7.812500e-03, 7.939874e-02 |
| 165 | 3232 | 0 | [9 11] | [16 16] | 32 | EvenSpacing | 7.812500e-03, 8.252769e-02 |
| 166 | 2944 | 0 | [9 10] | [16 16] | 32 | EvenSpacing | 7.812500e-03, 8.144822e-02 |
| 167 | 128 | 0 | [2 2] | [16 16] | 16 | EvenPow2Spacing | 7.812500e-03, 1.802750e-01 |
| 168 | 1088 | 0 | [8 8] | [16 16] | 16 | EvenPow2Spacing | 7.812500e-03, 1.016312e-01 |
| 169 | 576 | 0 | [4 8] | [16 16] | 16 | EvenPow2Spacing | 7.812500e-03, 1.452409e-01 |
| 170 | 576 | 0 | [8 4] | [16 16] | 16 | EvenPow2Spacing | 7.812500e-03, 1.334611e-01 |
| 171 | 320 | 0 | [4 4] | [16 16] | 16 | EvenPow2Spacing | 7.812500e-03, 1.568986e-01 |
| 172 | 3664 | 0 | [15 15] | [16 16] | 16 | EvenPow2Spacing | 7.812500e-03, 1.016312e-01 |
| 173 | 192 | 0 | [2 2] | [16 16] | 32 | EvenPow2Spacing | 7.812500e-03, 1.802654e-01 |
| 174 | 2112 | 0 | [8 8] | [16 16] | 32 | EvenPow2Spacing | 7.812500e-03, 1.016435e-01 |
| 175 | 1088 | 0 | [4 8] | [16 16] | 32 | EvenPow2Spacing | 7.812500e-03, 1.452515e-01 |
| 176 | 1088 | 0 | [8 4] | [16 16] | 32 | EvenPow2Spacing | 7.812500e-03, 1.334589e-01 |
| 177 | 576 | 0 | [4 4] | [16 16] | 32 | EvenPow2Spacing | 7.812500e-03, 1.568881e-01 |
| 178 | 160 | 0 | [2 2] | [16 32] | 16 | EvenPow2Spacing | 7.812500e-03, 1.802750e-01 |
| 179 | 1120 | 0 | [8 8] | [16 32] | 16 | EvenPow2Spacing | 7.812500e-03, 1.015092e-01 |
| 180 | 608 | 0 | [4 8] | [16 32] | 16 | EvenPow2Spacing | 7.812500e-03, 1.451798e-01 |
| 181 | 608 | 0 | [8 4] | [16 32] | 16 | EvenPow2Spacing | 7.812500e-03, 1.334611e-01 |
| 182 | 352 | 0 | [4 4] | [16 32] | 16 | EvenPow2Spacing | 7.812500e-03, 1.568986e-01 |
| 183 | 3696 | 0 | [15 15] | [16 32] | 16 | EvenPow2Spacing | 7.812500e-03, 1.015092e-01 |
| 184 | 224 | 0 | [2 2] | [16 32] | 32 | EvenPow2Spacing | 7.812500e-03, 1.802723e-01 |
| 185 | 2144 | 0 | [8 8] | [16 32] | 32 | EvenPow2Spacing | 7.812500e-03, 1.015072e-01 |
| 186 | 1120 | 0 | [4 8] | [16 32] | 32 | EvenPow2Spacing | 7.812500e-03, 1.451943e-01 |
| 187 | 1120 | 0 | [8 4] | [16 32] | 32 | EvenPow2Spacing | 7.812500e-03, 1.334522e-01 |
| 188 | 608 | 0 | [4 4] | [16 32] | 32 | EvenPow2Spacing | 7.812500e-03, 1.568892e-01 |
Best Solution
| ID | Memory (bits) | Feasible | Table Size | Breakpoints WLs | TableData WL | BreakpointSpecification | Error(Max,Current) |
| 73 | 4040 | 1 | [29 17] | [16 32] | 8 | EvenSpacing | 7.812500e-03, 4.846454e-03 |
S =
1×1 FunctionApproximation.LUTSolution with properties:
ID: 73
Feasible: "true"
Compare the numerical behavior of the original lookup table, with the optimized lookup table.
compare(S)
ans =
1×2 struct array with fields:
Breakpoints
Original
Approximate

Generate the new Lookup Table block using the approximate method.
S.approximate

%#ok<*NOPTS>
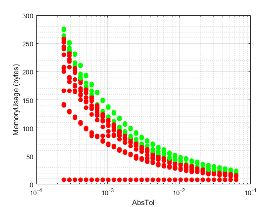
Visualize Pareto Front for Memory Optimization Versus Absolute Tolerance
When you want to optimize for both memory and absolute tolerance, it is helpful to visualize the tradeoffs between the two. This example creates a lookup table approximation of the function 1-exp(-x) with varying levels of absolute tolerance and creates a plot of each solution found. In the final plot you can view the tradeoffs between memory efficiency and numeric fidelity.
nTol = 32; % Initialize variables solutions = cell(1,nTol); objectiveValues = cell(1,nTol); constraintValues = cell(1,nTol); memoryUnits = 'bytes'; % Options for absolute tolerance absTol = 2.^linspace(-12,-4,nTol); % Relative tolerance is set to 0 relTol = 0; % Initialize options options = FunctionApproximation.Options( ... 'RelTol', relTol, ... 'BreakpointSpecification', 'EvenSpacing', ... 'Display', false, ... 'WordLengths', 16); % Setup the approximation problem problem = FunctionApproximation.Problem( ... @(x) 1 - exp(-x), ... 'InputTypes',numerictype(0,16), ... 'OutputType',numerictype(1,16,14), ... 'InputLowerBounds',0, ... 'InputUpperBounds',5, ... 'Options',options); % Execute to find solutions with different tolerances for iTol = 1:nTol problem.Options.AbsTol = absTol(iTol); solution = solve(problem); objectiveValues{iTol} = arrayfun(@(x) x.totalMemoryUsage(memoryUnits), solution.AllSolutions); constraintValues{iTol} = arrayfun(@(x) x.Feasible, solution.AllSolutions); solutions{iTol} = solution; end % Plot results h = figure(); hold on; for iTol = 1:nTol for iObjective = 1:numel(objectiveValues{iTol}) if constraintValues{iTol}(iObjective) markerColor = 'g'; else markerColor = 'r'; end plot(absTol(iTol),objectiveValues{iTol}(iObjective), ... 'Marker', '.' ,'LineStyle', 'none', ... 'MarkerSize', 24, ... 'MarkerEdgeColor', markerColor) end end xlabel('AbsTol') ylabel(['MemoryUsage (',memoryUnits,')']) h.Children.XScale = 'log'; h.Children.YMinorGrid = 'on'; grid on box on hold off;

Solutions that are infeasible, meaning they do not meet the required absolute tolerance are marked in red. Solutions that are feasible are marked in green. As the absolute tolerance increases, the approximation finds solutions which use less memory. When the absolute tolerance is lower, indicating higher numerical fidelity, the required memory also increases.
Compare Approximations Using On Curve and Off Curve Table Values
This example compares the lookup table approximations generated for the tanh function when the OnCurveTableValues property of the FunctionApproximation.Options object is set to true and false. The OnCurveTableValues property specifies whether the table values of the optimized lookup table approximation must be equal to the quantized output of the original function being approximated. In some cases, by setting this value to false, the generated lookup table approximation can maintain the same error tolerances while reducing the memory used by the lookup table.
Create a Lookup Table Approximation Using On Curve Table Values
Use the FunctionApproximation.Problem object to define a function to approximate with a lookup table. By default, the OnCurveTableValues property of the associated Options object is set to false. Set this property to true to constrain table values to the quantized output of the function being approximated.
P1 = FunctionApproximation.Problem('tanh');
P1.Options.OnCurveTableValues = 1P1 =
1×1 FunctionApproximation.Problem with properties:
FunctionToApproximate: @(x)tanh(x)
NumberOfInputs: 1
InputTypes: "numerictype(1,16,12)"
InputLowerBounds: -8
InputUpperBounds: 8
OutputType: "numerictype(1,16,15)"
Options: [1×1 FunctionApproximation.Options]
Generate the lookup table approximation.
S1 = solve(P1)
Searching for fixed-point solutions. | ID | Memory (bits) | Feasible | Table Size | Breakpoints WLs | TableData WL | BreakpointSpecification | Error(Max,Current) | | 0 | 64 | 0 | 2 | 16 | 16 | EvenSpacing | 7.812500e-03, 7.229091e-01 | | 1 | 1248 | 1 | 76 | 16 | 16 | EvenSpacing | 7.812500e-03, 4.368265e-03 | | 2 | 1232 | 1 | 75 | 16 | 16 | EvenSpacing | 7.812500e-03, 4.439035e-03 | | 3 | 944 | 1 | 57 | 16 | 16 | EvenSpacing | 7.812500e-03, 7.780470e-03 | | 4 | 928 | 0 | 56 | 16 | 16 | EvenSpacing | 7.812500e-03, 7.990307e-03 | | 5 | 656 | 0 | 39 | 16 | 16 | EvenSpacing | 7.812500e-03, 1.678519e-02 | | 6 | 640 | 0 | 38 | 16 | 16 | EvenSpacing | 7.812500e-03, 1.660649e-02 | | 7 | 784 | 0 | 47 | 16 | 16 | EvenSpacing | 7.812500e-03, 1.102459e-02 | | 8 | 864 | 0 | 52 | 16 | 16 | EvenSpacing | 7.812500e-03, 9.403441e-03 | | 9 | 896 | 0 | 54 | 16 | 16 | EvenSpacing | 7.812500e-03, 8.643626e-03 | | 10 | 912 | 0 | 55 | 16 | 16 | EvenSpacing | 7.812500e-03, 8.316993e-03 | | 11 | 496 | 0 | 29 | 16 | 16 | EvenSpacing | 7.812500e-03, 2.894880e-02 | | 12 | 720 | 0 | 43 | 16 | 16 | EvenSpacing | 7.812500e-03, 1.355547e-02 | | 13 | 832 | 0 | 50 | 16 | 16 | EvenSpacing | 7.812500e-03, 1.019267e-02 | | 14 | 880 | 0 | 53 | 16 | 16 | EvenSpacing | 7.812500e-03, 8.881069e-03 | | 15 | 448 | 1 | 14 | 16 | 16 | ExplicitValues | 7.812500e-03, 7.801827e-03 | Best Solution | ID | Memory (bits) | Feasible | Table Size | Breakpoints WLs | TableData WL | BreakpointSpecification | Error(Max,Current) | | 15 | 448 | 1 | 14 | 16 | 16 | ExplicitValues | 7.812500e-03, 7.801827e-03 |
S1 =
1×1 FunctionApproximation.LUTSolution with properties:
ID: 15
Feasible: "true"
Create a Lookup Table Approximation Using Any Table Values
Create another FunctionApproximation.Problem object. Set the OnCurveTableValues property of this object to false to allow the optimization to optimize the table values as well as the breakpoints.
P2 = FunctionApproximation.Problem('tanh');
P2.Options.OnCurveTableValues = 0P2 =
1×1 FunctionApproximation.Problem with properties:
FunctionToApproximate: @(x)tanh(x)
NumberOfInputs: 1
InputTypes: "numerictype(1,16,12)"
InputLowerBounds: -8
InputUpperBounds: 8
OutputType: "numerictype(1,16,15)"
Options: [1×1 FunctionApproximation.Options]
Generate the lookup table approximation.
S2 = solve(P2)
Searching for fixed-point solutions. | ID | Memory (bits) | Feasible | Table Size | Breakpoints WLs | TableData WL | BreakpointSpecification | Error(Max,Current) | | 0 | 64 | 0 | 2 | 16 | 16 | EvenSpacing | 7.812500e-03, 7.229091e-01 | | 1 | 1248 | 1 | 76 | 16 | 16 | EvenSpacing | 7.812500e-03, 4.368265e-03 | | 2 | 1232 | 1 | 75 | 16 | 16 | EvenSpacing | 7.812500e-03, 4.439035e-03 | | 3 | 944 | 1 | 57 | 16 | 16 | EvenSpacing | 7.812500e-03, 7.780470e-03 | | 4 | 928 | 1 | 56 | 16 | 16 | EvenSpacing | 7.812500e-03, 5.383741e-03 | | 5 | 656 | 0 | 39 | 16 | 16 | EvenSpacing | 7.812500e-03, 1.678519e-02 | | 6 | 640 | 0 | 38 | 16 | 16 | EvenSpacing | 7.812500e-03, 1.660649e-02 | | 7 | 784 | 1 | 47 | 16 | 16 | EvenSpacing | 7.812500e-03, 7.743777e-03 | | 8 | 704 | 1 | 42 | 16 | 16 | EvenSpacing | 7.812500e-03, 7.805676e-03 | | 9 | 672 | 1 | 40 | 16 | 16 | EvenSpacing | 7.812500e-03, 7.809550e-03 | | 10 | 368 | 0 | 21 | 16 | 16 | EvenSpacing | 7.812500e-03, 4.855583e-02 | | 11 | 512 | 0 | 30 | 16 | 16 | EvenSpacing | 7.812500e-03, 2.773526e-02 | | 12 | 592 | 0 | 35 | 16 | 16 | EvenSpacing | 7.812500e-03, 2.088471e-02 | | 13 | 624 | 0 | 37 | 16 | 16 | EvenSpacing | 7.812500e-03, 1.870074e-02 | | 14 | 384 | 1 | 12 | 16 | 16 | ExplicitValues | 7.812500e-03, 7.812317e-03 | | 15 | 384 | 0 | 12 | 16 | 16 | ExplicitValues | 7.812500e-03, 1.196141e-02 | | 16 | 384 | 1 | 12 | 16 | 16 | ExplicitValues | 7.812500e-03, 7.812317e-03 | Best Solution | ID | Memory (bits) | Feasible | Table Size | Breakpoints WLs | TableData WL | BreakpointSpecification | Error(Max,Current) | | 14 | 384 | 1 | 12 | 16 | 16 | ExplicitValues | 7.812500e-03, 7.812317e-03 |
S2 =
1×1 FunctionApproximation.LUTSolution with properties:
ID: 14
Feasible: "true"
View Results
Compare the best solutions for each lookup table approximation.
compare(S1)

ans = struct with fields:
Breakpoints: [65536×1 double]
Original: [65536×1 double]
Approximate: [65536×1 double]
compare(S2)

ans = struct with fields:
Breakpoints: [65536×1 double]
Original: [65536×1 double]
Approximate: [65536×1 double]
The maximum error between the original function and the two lookup table approximations are approximately equal, however the memory used by the lookup table that was not constrained to using only on curve table values is significantly lower.
percent_reduction = S2.totalMemoryUsage/S1.totalMemoryUsage
percent_reduction = 0.8571
See Also
Apps
Classes
FunctionApproximation.Problem|FunctionApproximation.Options|FunctionApproximation.LUTSolution|FunctionApproximation.LUTMemoryUsageCalculator