Main Content

Create an App for Analog Triggered Data Acquisition

This example shows how to create an analog-triggered data acquisition app by using Data Acquisition Toolbox™ and App Designer.

Data Acquisition Toolbox provides functionality for acquiring measurement data from a DAQ device or audio sound card. For certain applications, an analog-triggered acquisition that starts capturing or logging data based on a condition in the analog signal being measured is recommended. Software-analog triggered acquisition enables you to capture only a segment of interest out of a continuous stream of measurement data. For example, you can capture an audio recording when the signal level passes a certain threshold.

This example app shows how to implement these operations:

  • Discover available DAQ devices and select which device to use.

  • Configure device acquisition parameters.

  • Display a live plot in the app UI during acquisition.

  • Perform a triggered data capture based on a programmable trigger condition.

  • Save captured data to a MATLAB® base workspace variable.

  • Control the operating modes of the app by defining app states in code.

By default, the app will open in design mode in App Designer. To run the app click the Run button or execute the app from the command line:

AnalogTriggerApp

Requirements

This example app requires:

  • MATLAB R2020a or later.

  • Data Acquisition Toolbox.

  • A supported DAQ device or sound card. For example, any National Instruments or Measurement Computing device that supports analog input Voltage or IEPE measurements and background acquisition.

  • Corresponding hardware support package and device drivers.

Analog Trigger Condition

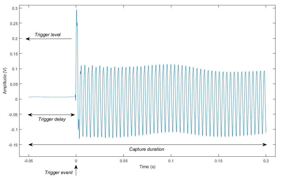
The analog trigger capture is specified by the trigger level, trigger condition, trigger delay, and capture duration which are defined as in the figure below. A negative trigger delay means pre-trigger data will be captured.

Controlling the App Operation

When creating an app that has complex logic, consider the various states that correspond to the operating modes of the app. For this app, the app logic is implemented in MATLAB code and the following app states are used:

  • DeviceSelection

  • Configuration

  • Acquisition (Buffering, ReadyForCapture, Capture, LookingForTrigger, CapturingData, CaptureComplete)

You can use a Stateflow chart to visualize, organize, and control the app states as illustrated in the "Analog Trigger App by Using Stateflow Charts" example.